題組內容
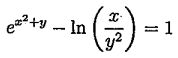
3.Suppose that near (r, y) = (1,-1) the equation

efines y as a twice differentiable function of which is denoted by y(x).
(b) y"(1)= (6)
3.Suppose that near (r, y) = (1,-1) the equation

efines y as a twice differentiable function of which is denoted by y(x).
(b) y"(1)= (6)