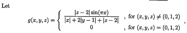
題組內容

5. Suppose that f(x, y, z) is differentiable near (x, y, z) = (0, 1, 2) and f(0,1,2) = 10.

 Assume that curves

lie on the level surface f(z, y,2) = 10 and (0, 1,2) =

(b)

and .Then Dag(0,1,2) =      (9)