阿摩線上測驗
登入
首頁
>
研究所、轉學考(插大)-微積分
>
114年 - 114 國立臺灣大學_轉學生招生考試_物理學系/土木工程學系/生物環境系統工程學系/生物機電工程學系:微積分(B)#137745
> 申論題
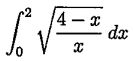
4.
=
(7)
相關申論題
1. = (1) .
#564242
(a) Find the Taylor series for centered at a = 0. (2) .
#564243
(b) Find the Taylor series for f(x) centered at a =2. (3)
#564244
(c)= (4)
#564245
(a) The linearization of y(x) at x =1 is (5) .
#564246
(b) y"(1)= (6)
#564247
(a) The tangent plane to f(r, y, z) = 10 at (x, y, z) = (0, 1, 2) is (8)
#564249
(b) and .Then Dag(0,1,2) = (9)
#564250
(c) Assume that f(x,y, z) attains the maximum value at (x, y, z) = (0,1,2) when restricted to a level surface h(x, y, z) = 1, where h(x,y, z) is differentiable and(0, 1,2) = 6. Using linear approximation, estimate the maximum value of f(x, y, z) subject to the nearby level surface h(x,y, 2) = 0.9. The estimated value is approximately (10)
#564251
(a) Find and by the Mean Value Theorem. Is f(x) differentiable at =2? Justify your answers.
#564252
相關試卷
114年 - 114 國立臺灣大學_轉學生招生考試_物理學系/土木工程學系/生物環境系統工程學系/生物機電工程學系:微積分(B)#137745
114年 · #137745
114年 - 114 國立臺灣大學_轉學生招生考試_數學系:微積分(A)#137744
114年 · #137744
113年 - 113 國立嘉義大學_轉學生招生考試試題_(全校):微積分#122986
113年 · #122986
112年 - 112 國立臺灣大學_碩士班招生考試題:微積分(D)#130254
112年 · #130254
112年 - 112 國立陽明交通大學_碩士班入學招生試題_統計學研究所﹕微積分與線性代數#130252
112年 · #130252
112年 - 112 國立嘉義大學_轉學生招生考試試題:微積分#123297
112年 · #123297
112年 - 臺灣綜合大學系統112 學年度學士班轉學生聯合招生考試試題 微積分A#120563
112年 · #120563
112年 - 112 臺灣聯合大學系統(清華、陽交、中央 聯招)學士班轉學生考試_A3、A4、A6理工組:微積分#117689
112年 · #117689
112年 - 112 臺灣聯合大學系統(清華、陽交、中央三校聯招)學士班轉學生考試_A2商管組:微積分#117687
112年 · #117687
112年 - 112 國立高雄師範大學轉學生招生考試試題_電子工程學系二年級:微積分#116290
112年 · #116290