題組內容
5. Suppose that f(x, y, z) is differentiable near (x, y, z) = (0, 1, 2) and f(0,1,2) = 10.
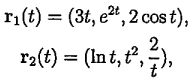
Assume that curves

lie on the level surface f(z, y,2) = 10 and
(0, 1,2) =
(a) The tangent plane to f(r, y, z) = 10 at (x, y, z) = (0, 1, 2) is (8)
5. Suppose that f(x, y, z) is differentiable near (x, y, z) = (0, 1, 2) and f(0,1,2) = 10.
Assume that curves

lie on the level surface f(z, y,2) = 10 and
(0, 1,2) =
(a) The tangent plane to f(r, y, z) = 10 at (x, y, z) = (0, 1, 2) is (8)