題組內容

三. 下列是關於最大概似估計量(maximum likelihood estimator)以及最小變異不偏估計量(minimum variance unbiased estimator)的問題。

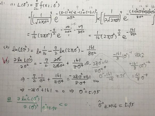
⑴考慮下列隨機變數X其機率密度函數(probability density function): 5f1a45f0d27e3.jpg 其中 f1(x)為一平均值為1及標準差為σ 的常態機率密度函數(normal probability density function),而 f2(x)為一平均值亦為1及標準差為2σ 的常態機率密度函數。 下列為一組服從上述機率分配所得的隨機樣本:5f1a46503b8a0.jpg 請算出 σ2 之最大概似估計量的值。

詳解 (共 1 筆)

詳解 提供者:Tara