題組內容
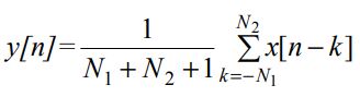
一、考慮移動平均濾波器(moving average filter):
,其中 x[n] 與 y[n]分別為輸入與輸出訊號,N1與 N2為正整數。
⑴證明該濾波器之頻率響應(Frequency response)可表示為:(10 分)
詳解 (共 2 筆)
詳解
因為
詳解
111