題組內容
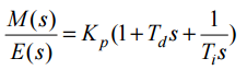
一、於比例積分微分控制器(PID)中,控制器之轉換函數:

(Kp:控制器之比例、微分、積分常數,Td:微分作用持續時間,Ti:積分作用持 續時間,m(t):控制器輸出函數,e(t):輸入訊號設為 unit-ramp 函數,M(s):m(t)經 拉普拉斯轉換後之函數,E(s):e(t)經拉普拉斯轉換後之函數)
⑵試討論具 PID,PD 控制功能之輸出函數 m(t)值隨時間 t 變化的差異性。(20 分)
詳解 (共 1 筆)
詳解
...