五、一直流無刷馬達用於空調箱風扇驅動,其等效電路圖如下所示:
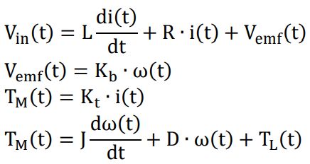
如圖系統之物理特性方程式(Governing equations),可以用下列四式來說明:
上式中,Vin (t)為控制之輸入電壓;i(t)為電流;L 是電路電感,為一常數定值;R 是電路電阻,亦為一常數定值;Vemt(t)是跨越馬達兩端的驅動電動勢(電壓);Kb 是抗電動勢常數;ω(t)是馬達轉速;TM(t)是馬達輸出扭矩;Kt 是馬達轉矩常數;J 是馬達旋轉慣量;D 是馬達旋轉摩擦係數而TL(t)則為實質負載(風扇輸出)扭矩。試利用拉氏轉換分析以上方程式,求取
之轉移方程式。(20 分)