阿摩線上測驗
登入
首頁
>
工程數學(應用數學, 線性代數、微分方程、複變函數與機率)
>
95年 - 95 專技高考_電機工程技師:工程數學(包括線性代數、微分方程、複變函數與機率)#36581
> 申論題
題組內容
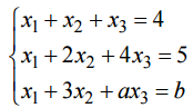
三、有一線性系統,其聯立方程式如下:
⑶欲使此系統有唯一解,則 a 和 b 值為何?此系統解為何?(10 分)
相關申論題
一、求解下列微分方程式(10 分) y′′ − 6y′+ 9y = 3x + 5e3x
#101651
⑴欲使此系統無解,則 a 和 b 值為何?(5 分)
#101653
⑵欲使此系統有無窮多組解,則 a 和 b 值為何?(5 分)
#101654
五、求函數 f(t) = 3 + 2cos2t 之傅利葉轉換式。(10 分)
#101657
⑴計算出現數字和(x)之平均值(Mean)。(3 分)
#101661
⑵計算出現數字和(x)之變異數(Variance)與標準差(Standard Deviation)。(3 分)
#101662
⑶畫製出現數字和(x)之頻率分布圖(Frequency histogram)。(3 分)
#101663
⑷畫製出現數字和(x)之累積頻率分布圖(Cumulative frequency histogram)。(3 分)
#101664
⑸計算出現數字和(x)大於 7 之機率為何?(4 分)
#101665
⑹若假設X 為常態分布(Normal Distribution)之隨機變數,求其機率密度函數(Probability Density Function)為何?(4 分)
#101666
相關試卷
114年 - 114 專技高考_電機工程技師:工程數學(包括線性代數、微分方程、複變函數與機率)#133679
114年 · #133679
114年 - 114 專技高考_電子工程技師:工程數學(包括線性代數、微分方程、向量分析、複變函數與機率)#133677
114年 · #133677
114年 - 114 調查特種考試_三等_電子科學組:工程數學#129578
114年 · #129578
114年 - 114 國家安全情報特種考試_三等_電子組(選試英文):工程數學#127780
114年 · #127780
113年 - 113 專技高考_電子工程技師:工程數學(包括線性代數、微分方程、向量分析、複變函數與機率)#123976
113年 · #123976
113年 - 113 專技高考_電機工程技師:工程數學(包括線性代數、微分方程、複變函數與機率)#123971
113年 · #123971
113年 - 113 調查特種考試_三等_電子科學組:工程數學#122110
113年 · #122110
113年 - 113 身心障礙特種考試_三等_電力工程:工程數學#119517
113年 · #119517
112年 - 112 地方政府特種考試_三等_電力工程、電子工程:工程數學#118376
112年 · #118376
112年 - 112 專技高考_電機工程技師:工程數學(包括線性代數、微分方程、複變函數與機率)#117639
112年 · #117639