阿摩線上測驗
登入
首頁
>
統計學
>
107年 - 107 地方政府特種考試_三等_經建行政、農業行政、交通技術:統計學#73539
> 申論題
申論題
試卷:107年 - 107 地方政府特種考試_三等_經建行政、農業行政、交通技術:統計學#73539
科目:統計學
年份:107年
排序:0
申論題資訊
試卷:
107年 - 107 地方政府特種考試_三等_經建行政、農業行政、交通技術:統計學#73539
科目:
統計學
年份:
107年
排序:
0
題組內容
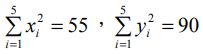
四、考慮簡單線性迴歸反應變數模型
,若誤差 i ε 是常態分 配,平均數是0,標準差σ 未知。解釋變數 x 與反應變數 y 的 5 個觀測值 (x
1
,y
1
), … ,(x
5
,y
5
) ,經計算得到
,
。
申論題內容
⑶若β
1
估計式(estimator)的標準誤是0.253,求β
1
的95%信賴區間。(10 分)
詳解 (共 1 筆)
詳解
提供者:hchungw