阿摩線上測驗
登入
首頁
>
國營事業◆自動控制
>
109年 - 109 臺灣菸酒股份有限公司_從業職員及從業評價職位人員甄試_從業職員-機械::自動控制#89103
> 申論題
題組內容
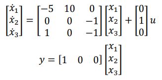
第二題: 有一控制系統其狀態方程式如下所示:
(二)如欲使用狀態變數回授控制調整系統響應,請設計一組狀態回授增益使得系統極 點位置位於(-1, -2, -5)。【15 分】
相關申論題
(一)請繪製此回授控制系統方塊圖。【10 分】
#361710
(二)請設計上述 PD 控制增益值,並說明該 PD 控制器的設計方式。【15 分】
#361711
(一)請計算該系統的(1)單位步階命令穩態誤差;(2)單位斜坡命令穩態誤差。【10 分; 未列出計算過程者,不予計分】
#361712
第三題: 有一個馬達系統方塊圖如【圖三】所示: 如果該馬達轉子慣性矩 J 為 1 kg-m2,阻尼 B 為 1 N-m/rad/sec,請決定適當的電流控制 增益值 K 與速度回授增益 Kh,使得此系統的步階命令響應最大超越量為 20%且發生時間在命令發生後 1 秒鐘。【25 分;註:π≒3.14;ln2≒0.69;ln5≒1.61;ln7≒1.95;計算至小 數點第二位,未列出計算過程者,不予計分】
#361714
第四題: 請列式計算 的反拉普拉斯函數 f(t)=?【25 分】
#361715
(三)計算此系統尖峰時間、上升時間?【10 分】
#563079
(二)試求此系統之阻尼比和自然頻率?【10 分】
#563078
(一)假設系統為步階輸入,則穩態響應 ys 為多少?【5 分】
#563077
(二)當系統於臨界穩定時,該振盪頻率為何?【10 分】
#563076
(一)使得此系統穩定之 K 值的範圍?【15 分】
#563075
相關試卷
113年 - 113 臺灣菸酒股份有限公司_從業職員及從業評價職位人員甄試試題_從業評價職位人員_電子電機:自動控制#133996
113年 · #133996
113年 - 113 臺灣菸酒股份有限公司_從業職員及從業評價職位人員甄試試題_電子電機:自動控制#133977
113年 · #133977
113年 - 113 國營臺灣鐵路股份有限公司_從業人員甄試_第 9 階-技術員-電機:自動控制概要#119067
113年 · #119067
112年 - 112 臺灣菸酒股份有限公司_從業職員及從業評價職位人員甄試_從業職員/機械(中區):自動控制#137443
112年 · #137443
112年 - 112 臺灣菸酒股份有限公司_從業職員及從業評價職位人員甄試試題_電子電機:自動控制#137404
112年 · #137404
112年 - 112 臺灣菸酒股份有限公司_從業職員及從業評價職位人員甄試_從業職員/電子電機:自動控制#118449
112年 · #118449
110年 - 110 臺灣菸酒股份有限公司_從業職員及從業評價職位人員甄試試題_從業職員/機械 :自動控制#111385
110年 · #111385
109年 - 109 桃園國際機場股份有限公司_新進從業人員招募甄選_工程-機械-技術員:自動控制#90579
109年 · #90579
109年 - 109 臺灣菸酒股份有限公司_從業職員及從業評價職位人員甄試_從業職員-電子電機、電機工程學程:自動控制#89252
109年 · #89252
109年 - 109 臺灣菸酒股份有限公司_從業職員及從業評價職位人員甄試_從業職員-機械::自動控制#89103
109年 · #89103