題組內容
四、檢定兩個伯努力(Bernoulli)母體的平均數 p1 、 p 2 是否相等時,若兩組獨立隨機樣 本數分別為 n1 與 n2 ,且兩組樣本之成功總數分別為 X 與 Y ,則:
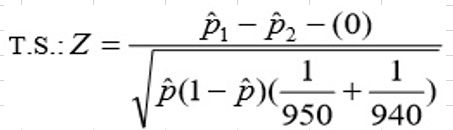
⑶若想檢定 H 0 : p1 = p 2 時,檢定統計量為何?(5 分)
詳解 (共 1 筆)
詳解
檢定 H 0 : p1 = p 2
成對母體比例的檢定統計量
