所屬科目:研究所、轉學考(插大)◆工程數學
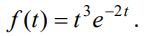
1. 求出 (10%)
2. 解出初始值問題 (15%)
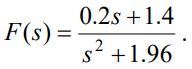
3. 求出 (15%)
4. 求出矩陣的特徵值(eigenvalues)及其相對應的特徵向量(eigenvectors). (10%)
(a) (5%)
(b) (5%)
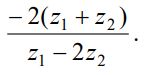
(c)
(a)
(b)
8. 求出週期函數, f (x + 2π) = f (x)的傅立葉係數(Fourier coefficients). (10%)