所屬科目:衍生性商品之風險管理
2. 若期貨選擇權三個月後到期,標的期貨契約四個月後到期,目前期貨價格與選擇權履約價 同為 7 元,無風險利率為 10%,標的資產波動度為 16%,若出售 1,000 單位之歐式期貨 買權,其 delta 約為多少? (A) -503 (B) -50 (C) 516 (D) 518
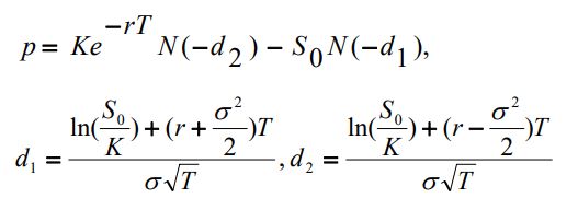
3. Black-Scholes 的股票賣權公式 欲以人工合成賣權的方式形成投資組合保險,應以何種方式操作? 當股價下跌時又應如何 動態調整持有部位? (A)賣出佔投資組合 N ( d 1 ) 比率的股票,並投資無風險性資產;當股價下跌時,加碼賣出 (B)賣出佔投資組合 [1 − N ( d1 ) ]比率的股票,並投資無風險性資產;當股價下跌時,加碼賣出 (C)以無風險利率借錢,並買入佔投資組合 N ( d1 )比率的股票;當股價下跌時,加碼買進 (D)以無風險利率借錢,並買入佔投資組合 [1 − N ( d1 ) ] 比率的股票;當股價下跌時,加碼買進
32. 下列何項信用風險的衡量模型係建立在信用風險與企業資本結構的關係上? (A)KMV 法 (B)CreditMetrics 法 (C)Credit Risk (D)CreditPortfolio View 法
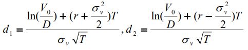
34. 在 Merton (1974)的模型中,利用公司股價來計算違約機率;期初公司股價為,其中,V0 為期初公司資產價值,D 為期末應償還之公司債面額 N (.) ,為標準常態累加機率密度函數, , r 為無風險利率, 為資產價值之波動度。以下何者代表公司違約之風險中立機率? (A) N ( d1 ) (B) N (d2 ) (C) N ( −d1 ) (D) N (−d2 )
2. 一金融機構的指數選擇權投資組合如下所列: 假設一可交易的選擇權其 Delta 為 0.5, Gamma 為 1.9,無風險利率為 2%。 試問,應持有多少部位的上述可交易的選擇權以及三個月期的指數期貨,才可使得該 機構之投資組合同時達到 Gamma 中立及 Delta 中立? (10 分)