阿摩線上測驗
登入
首頁
>
工程數學(應用數學, 線性代數、微分方程、複變函數與機率)
> 104年 - 104 地方政府特種考試_三等_電力工程、電子工程、電信工程:工程數學#35433
104年 - 104 地方政府特種考試_三等_電力工程、電子工程、電信工程:工程數學#35433
科目:
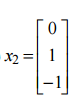
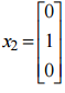
工程數學(應用數學, 線性代數、微分方程、複變函數與機率) |
年份:
104年 |
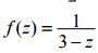
選擇題數:
20 |
申論題數:
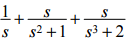
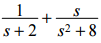
4
試卷資訊
所屬科目:
工程數學(應用數學, 線性代數、微分方程、複變函數與機率)
選擇題 (20)
1 令 a, b ,c 為三向量,有關其內積(inner product)與外積(cross product)之敘述,下列等式何者正確? (A)a • (b × c) = (a × b) • c (B)a • (b × c) = c • (b × a) (C)a • (b × c) = (c × b) • a (D)a • (b×c) = b • (a×c)
2 若
F, G, H
為 R
3
上之向量,c 為任意純量,且定義
F,G, H]
=
F • (G × H)
,則下列敘述何者錯誤? (A)[
F, G, H
]=−[
F, H, G
] (B)[
F, G, H
]=[
G, F, H
] (C)[
F
, α
G
+ β
K, H
]=α[
G, H, F
] + β[
F, K, H
] (D)若
F=G + H
,則[
F, G, H
]=0
3 設
u
=(1, 0, 2);v=(2, 1, 0);
w
=(0, 1, 1),則由
u, v
及
w
所形成的平行立方體(parallelepiped)體積為何? (A)3 (B)4 (C)5 (D)6
4 一微分方程式 y″+4y = 8x
2
,下列何者不會出現在其一般解(general solution)中? (A)cos2x (B)sin2x (C)2 1 x2 − (D) 2x + 2
5 複變函數
在複數平面上,下列那一點不連續? (A)1+i (B)-1 (C)i (D)4
6 令複數 z=1+i,則ln(z)可為下列何者? (A)ln(
) + 0.25
πi
(B)ln(
) +
πi
(C)ln(
) −
πi
(D)ln(
) − 0.25
πi
7 矩陣 A
,若 λ=2 為其一特徵值(eigenvalue),則 α=? (A)
(B)
(C)
(D)-3
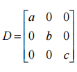
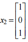
8 矩陣
之對角化(diagonalization)矩陣
,α≦b≦c ,令 A=XDX
-1
,其中 X=[x
1
x
2
x
3
], 試問下列結果何者正確? (A)
(B)
(C)
(D)
9 假設有一矩陣
其行列式值為 7,求
的行列式值為多少? (A)-28 (B)28 (C)-56 (D)56
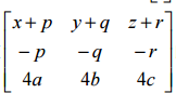
10 下列矩陣關係式,何者正確? (A)
(B)
(C)
(D)
11 將複函數
表為泰勒級數(Taylor series)展開式
,則下列敘述何者錯誤? (A)此泰勒級數的收斂區域為 |z −1| < 2 (B)α
0
= 1 (C) α
2
=
(D)
αn= 0
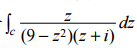
12 假設 C 為沿著逆時針方向繞圓周 z =1,試求積分
為何? (A)0 (B)1 (C)
(D)2πi
13
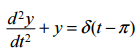
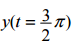
y ,初始條件 y(0) = y′(0) = 0。其中,δ (t) 為單位脈衝函數(Unit impulse function),則
= ? (A)0 (B)1 (C)-1 (D)π
14 令 f(t)=cos
2
(t), t > 0,試求 f(t)之拉普拉斯轉換(Laplace transform)F(s) = L{ f(t)}? (A)
(B)
(C)
(D)
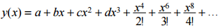
15 若
為微分方程式 y′ = 2xy 的解,其中
,則下列何者正確? (A)α =0 (B)b=1 (C)c=2 (D)d=0
16 假設每本書每一章平均會有 2 個錯誤,隨機抽檢某書的某一章,則至少有 2 個錯誤的機率約為何?(e=2.72, e
2
=7.39,e
3
=20.09) (A)0.2 (B)0.4 (C)0.6 (D)0.8
17 離散隨機變數 X 與 Y 之結合機率質量函數(joint probability mass function)為:
試問 c 值為何? (A)0.05 (B)0.5 (C)1 (D)5
18 某工廠有 2 台機器 A 和 B 分別生產 40%及 60%的產品。已知,2 台機器做的產品中分別有 2%及 3%的瑕疵品。 假設現在任意選擇一個產品是瑕疵品,請問它是由機器 B 所生產的機率為何? (A)0.026 (B)8/26 (C)18/26 (D)0.018
19 假設 X 和 Y 為兩個獨立之隨機變數,其均勻分布於區間[0, 1]。求方程式 t
2
+Xt+2Y=0 有兩個實根之機率為何? (A)1/3 (B)1/8 (C)1/12 (D)1/24
20 設 y=a(t)為 y″(t)+4y′(t)+4y(t)=4 之解,則 (
之值為何? (A)0 (B)1 (C)4 (D)∞
申論題 (4)
【已刪除】一、求橢圓
+ y
2
= 1 在點
上的切線方程式 y = f (x)。(10 分)
【已刪除】二、設 3 階方陣
,求其行列式之 x 的導函數
為何?(10 分)
三、某製造公司採用 3 種不同的方法 A、B 及 C 來設計和開發某個特定的產品。基於成本的考量,這 3 種方法不會同時被採用;而且,方法 A、B 和 C 分別用在 30%、20%及 50%的產品上。已知這 3 種方法所製造出來的產品其瑕疵率分別為P(D | A) = 0.01, P(D | B) = 0.03, P(D |C) = 0.02,其中 事件 D 代表所選取的產品是有瑕疵的集合。請問假設觀察一個隨機選取的產品且發現它有瑕疵, 則此瑕疵品最有可能是來自那一個生產方法?(15 分)
【已刪除】四、請找出所有滿足 sin(z) = –i 之複數 z 的解,其中
。(15 分)
相關試卷
114年 - 114 專技高考_電機工程技師:工程數學(包括線性代數、微分方程、複變函數與機率)#133679
114年 · #133679
114年 - 114 專技高考_電子工程技師:工程數學(包括線性代數、微分方程、向量分析、複變函數與機率)#133677
114年 · #133677
114年 - 114 調查特種考試_三等_電子科學組:工程數學#129578
114年 · #129578
114年 - 114 國家安全情報特種考試_三等_電子組(選試英文):工程數學#127780
114年 · #127780
113年 - 113 專技高考_電子工程技師:工程數學(包括線性代數、微分方程、向量分析、複變函數與機率)#123976
113年 · #123976
113年 - 113 專技高考_電機工程技師:工程數學(包括線性代數、微分方程、複變函數與機率)#123971
113年 · #123971
113年 - 113 調查特種考試_三等_電子科學組:工程數學#122110
113年 · #122110
113年 - 113 身心障礙特種考試_三等_電力工程:工程數學#119517
113年 · #119517
112年 - 112 地方政府特種考試_三等_電力工程、電子工程:工程數學#118376
112年 · #118376
112年 - 112 專技高考_電機工程技師:工程數學(包括線性代數、微分方程、複變函數與機率)#117639
112年 · #117639