所屬科目:專科學力鑑定◆專(一):初級統計
3. 收集「自變數 x」與「應變數 y」之資料,得到下列五筆對應的觀測值如表(一)。若以簡單 線性迴歸模型來描述應變數y與自變數x之間的關係,並以最小平方法求算迴歸方程式,則 此迴歸方程式之斜率 (slope ) 為何? (A) 0.8 (B) 0.9 (C) 1.0 (D) 1.1
37. 某公司有甲、乙、丙 3 條飲料生產線,品管人員分別由此3條生產線各隨機抽取60罐飲料, 得其每罐飲料容量之樣本平均數與標準差如表(二),若以變異數分析 ( ANOVA ) 檢定這 3條 生產線之飲料平均容量是否相等,則此檢定之隨機誤差的自由度為何? (A) 177 (B) 178 (C) 179 (D) 180
38. 阿豪欲探討土地銀行、農民銀行、華南銀行、玉山銀行與世華銀行之行員的每週平均工作 時數之差異。他分別從這5 個銀行隨機抽取6、 5、 6、7、 6 位行員,並記錄其工作時數。 表(三)為阿豪尚未完成之ANOVA表,請問這張ANOVA表的F值為何? (A) 14.67 (B) 16.33 (C) 18.85 (D) 20.97
39. 隨機抽取某公司甲、乙、丙三個部門,並調查其員工學歷如表(四);欲以Pearson卡方統計量 檢定:此公司「員工學歷」與「所屬部門」是否互相獨立,則此檢定之樣本卡方值為何? (A) 35.5 (B) 37.5 (C) 39.5 (D) 41.5
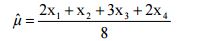
48. 設隨機變數X為一常態分配,其期望值為 μ,標準差為 σ。今從這個常態母體隨機抽出4個 觀測值,並建構一母體平均數的估計式(如下所示),若欲探討此估計式的有效性,令此 估計式的標準差為c σ,則c之值為何? (A) 0.53 (B) 0.54 (C) 0.55 (D) 0.56