複選題
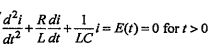
4. (5%) A heart pacemaker consists of a switch, a battery, a capacitor with constant capacitance C, and the
heart as a resister with constant resistance R. When the switch is closed, the capacitor charges; when the
switch is open, the capacitor discharges, sending an electrical stimulus to the heart. During the time the heart
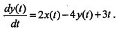
is being stimulated, the voltage y(t) across the heart satisties the linear differential equation :
, where t is the time variable. Assume that initially, i.e, at t = O, the voltage y(t) across
the heart is equal to 4 and the constant RC =1. Which of the following statements are true?
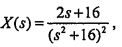
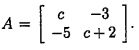
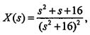
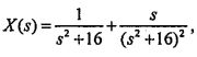
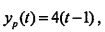
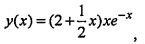
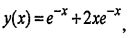
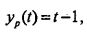
(A) For t≥0, the particular solution of the lincar differential equation is
(B) For t≥0,the particular solution of the linear differential equation is
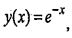
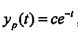
(C) For t≥0, the particular solution of the linear differential equation is
, c is any constant,
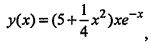
(D) For t≥0, the solution of the linear differential equation is
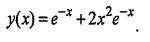
(E) For t≥0,the solution of the linear diffcrential equation is