所屬科目:高中指考◆數學乙
4. 袋中有大小相同的藍球 3 個、紅球 2 個,從袋中隨機取出 1 個記錄顏色後再放回袋中,連取10次中有x次取到紅球。將x=0,1,2, ,10所對應發生的機率yi,(其中i=0,1,2,...,10)繪出長條圖,下列選項中的圖形,何者最可能是繪出的長條圖 ?(A)(B)(C)(D)(E)
5. 已知 ABCDE 是邊長為 1 的正五邊形,請選出正確選項。(A)(B)(C)(D)(E)
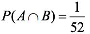
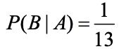
6. 由一副撲克牌(有黑桃、紅心、方塊與梅花四種花色,每種花色有 13 張,共 52張 )中隨機抽出一張牌,假設每一張牌被抽中的機會均等,令A代表抽出的牌點數為10點的事件,B代表抽出的牌花色為紅心的事件。請選出正確的選項。(A)(B)(C)(D) A和B為互斥事件(E) A和B 為獨立事件
A. 若多項式 f(x)與 g(x)滿足2f(x)=x3-3x2+5x+2,且g(x)除以x+2 的餘式為-10,則f(x)除以x+2的餘式為_____。
B. 若首項為 a 且公比為 0.01的無窮等比級數和等於循環小數,則 a=_____。
C. 小明在天文網站上看到以下的資訊「可利用北斗七星斗杓的天璇與天樞這兩顆星來尋找北極星:由天璇起始向天樞的方向延伸便可找到北極星,其中天樞與北極星的距離為天樞與天璇距離的 5 倍 。」今小明將所見的星空想像成一個坐標平面,其中天璇的坐標為 (9,8) 及天樞的坐標為 (7,11) 。依上述資訊可以推得北極星的坐標為( _____ )。
D. 有 10 個人平分為兩隊比賽籃球,同時每隊選出一人為隊長。問:分組並選出隊長的方法有_____ 種 。
E. 甲袋中有編號為 1, 2, 3, 4, 5的五顆白球,乙袋中有編號為 1, 2, 3的三顆紅球。從甲袋中任取一球放入乙袋,再從乙袋取出一球,並設每一球被取到的機會均等。若乙袋取出的球,其編號為偶數,則此球是白色球的機率為_____。
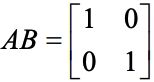
(A) 找出一個二階方陣 B 使得,並驗算之。( 4 分 )