阿摩線上測驗
登入
首頁
>
高中指考◆數學乙
>
106年 - 106 大學入學考試中心_指定科目考試參考試卷:數學乙#114987
> 申論題
題組內容
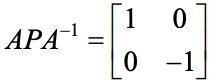
二、設二階方陣
且二階方陣 P 滿足
。 請回答下列各問題:( 12 分)
(A) 找出一個二階方陣 B 使得
,並驗算之。( 4 分 )
相關申論題
A. 若多項式 f(x)與 g(x)滿足2f(x)=x3-3x2+5x+2,且g(x)除以x+2 的餘式為-10,則f(x)除以x+2的餘式為_____。
#490803
B. 若首項為 a 且公比為 0.01的無窮等比級數和等於循環小數,則 a=_____。
#490804
C. 小明在天文網站上看到以下的資訊「可利用北斗七星斗杓的天璇與天樞這兩顆星來尋找北極星:由天璇起始向天樞的方向延伸便可找到北極星,其中天樞與北極星的距離為天樞與天璇距離的 5 倍 。」今小明將所見的星空想像成一個坐標平面,其中天璇的坐標為 (9,8) 及天樞的坐標為 (7,11) 。依上述資訊可以推得北極星的坐標為( _____ )。
#490805
D. 有 10 個人平分為兩隊比賽籃球,同時每隊選出一人為隊長。問:分組並選出隊長的方法有_____ 種 。
#490806
E. 甲袋中有編號為 1, 2, 3, 4, 5的五顆白球,乙袋中有編號為 1, 2, 3的三顆紅球。從甲袋中任取一球放入乙袋,再從乙袋取出一球,並設每一球被取到的機會均等。若乙袋取出的球,其編號為偶數,則此球是白色球的機率為_____。
#490807
(A) 當該病患食用A食品 x(百公克), B食品 y(百公克)時,可以達到上述的營養需求,請列出x,y所滿足的聯立不等式。( 5 分 )
#490808
(B) 承(A),當x, y的值為何時,病患的花費最少,並求出最少花費?( 8 分 )
#490809
(B) 求P與P2。( 4 分 )
#490811
(C) 求P101。( 4 分)
#490812
18. 已知某人的農地收成時,甲水果每公畝可獲利6萬元、乙水果每公畝可獲利 7 萬元。 試求某 人種植甲、乙兩種水果的最大獲利為多少萬元 ? 在答題卷求解區寫出計算過程,並在答題卷作圖區畫出可行解區域及標出其所有頂點坐標,且以斜線標示該區域 。( 非選擇題, 8 分 )
#553361
相關試卷
114年 - 114 大學入學考試中心_分科測驗:數學乙#131153
114年 · #131153
110年 - 110 大學入學考試中心_指定科目考試:數學乙#99979
110年 · #99979
109年 - 109(補考) 大學入學考試中心_指定科目考試:數學乙#89674
109年 · #89674
109年 - 109 大學入學考試中心_指定科目考試:數學乙#87876
109年 · #87876
108年 - 108 大學入學考試中心_指定科目考試:數學乙#97808
108年 · #97808
107年 - 107 大學入學考試中心_指定科目考試:數學乙#97823
107年 · #97823
106年 - 106 大學入學考試中心_指定科目考試參考試卷:數學乙#114987
106年 · #114987
106年 - 106 大學入學考試中心_指定科目考試:數學乙#62741
106年 · #62741
105年 - 105 大學入學考試中心_指定科目考試:數學乙#53359
105年 · #53359
104年 - 104 大學入學考試中心_指定科目考試:數學乙#114989
104年 · #114989