所屬科目:高中指考◆數學乙
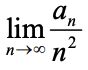
2. 坐標平面上,x坐標與y坐標皆為整數的點稱為「格子點」。設n為正整數,已知在第一象限且滿足x+2y≤2n的格子點(x,y)的數目為an。則的值為下列哪一個選項?(A) 0(B) 1(C) (D) 2(E) 4
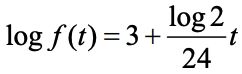
4. 半導體產業的摩爾定律認為「積體電路板可容納的電晶體數目每兩年增加一倍」。用 f(t)表示從t=0開始,電晶體數目隨時間t變化的函數,並假設f(0)=1000。下面選項中,請選出可以代表摩爾定律的公式。(A) 若 t 以年為單位,則 (B) 若 t 以月為單位,則(C) 若 t 以年為單位,則(D) 若 t 以年為單位,則(E) 若 t 以月為單位,則
5. 下表是兩年前三種零食分別在兩間超市的單價:(單位:元/包)上表以單價矩陣表示。如果這兩間超市都以每年 3%的比例調漲物品的價格,請問下列哪些選項的計算結果可以代表現在這些零食在這兩間超市的單價矩陣? (A)(B)(C)(D)(E)
7. 下表是某國在 2009 年 至 2015 年間,運動選手的人數統計: 關於該國運動選手,請根據這張表選出正確的敘述。(A) 從 2009 年到 2015 年,男運動選手增加的總人數比女運動選手增加的總人數多 (B) 從 2009 年到 2015 年,平均一年增加了 580 名男運動選手 (C) 從 2009 年到 2015 年,男女運動選手人數差距逐年持續縮小 (D) 如果分別計算男女運動選手人數對年份的迴歸直線(最適直線),則男生的直線斜率小於女生的直線斜率 (E) 在 2009 年到 2015 年共 7 年中,全國平均一年有超過 6000 名運動選手
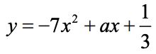
A. 若a為整數,且的圖形與x軸的兩個交點都介於 x=-1與 x=1之間,則滿足這樣條件的a有_____個 。
B. 如圖,長方形 ABCD 中∠CAB=30°,,則=_____。
C. 某校數學教師針對高三學生隨機選出 30 名男學生及 20 名女學生,做新教材適應性的調查,每一位學生都要填答,且只能填答適應或不適應。結果有 35 名學生填答無法適應新教材內容。假設學生性別與適應狀況獨立,請完成下列表格,使其最能符合上述假設。