阿摩線上測驗
登入
首頁
>
高中指考◆數學乙
> 105年 - 105 大學入學考試中心_指定科目考試:數學乙#53359
105年 - 105 大學入學考試中心_指定科目考試:數學乙#53359
科目:
高中指考◆數學乙 |
年份:
105年 |
選擇題數:
8 |
申論題數:
6
試卷資訊
所屬科目:
高中指考◆數學乙
選擇題 (8)
1. 下列哪一個選項是方程式
的根? (A) -1 (B)
(C)
(D)
(E)
2. 考慮有理數
,其中 m 、 n為正整數且 1≤ mn ≤8 。則這樣的數值(例如
同 值,只算一個)共有幾個? (A) 14 個 (B) 15 個 (C) 16 個 (D) 17 個 (5) 18 個
3. 坐標平面上有兩向量
。請問下列哪一個向量的長度最大? (A)
(B)
(C)
(D)
(E)
複選題
4. 設 f ( x ) 為一未知的實係數多項式,但知道 f (x) 除 以(x-5)(x-6)
2
的餘式為 5x
2
+6x+7。根據上述所給條件,請選出正確的選項。 (A) 可求出 f (0) 之值 (B) 可求出 f (11)之 值 (C) 可求出 f (x) 除 以( x -5)
2
的餘式 (D) 可求出 f (x) 除 以 (x -6)
2
的餘式 (E) 可求出 f (x) 除 以 (x-5)(x-6) 的餘式
複選題
5. 甲先生、乙先生、丙先生、丁先生四位男士以及 A小姐、 B小姐、 C 小姐、 D 小 姐四位女士想要混搭兩部計程車,每車載有四名乘客。已知: (一)甲先生與 A小姐同車 (二)乙先生與 B小姐同車 (三) C 小姐與 D 小姐不同車 請選出正確的選項。(A) A小姐與 D 小姐必不同車(B) 甲先生與 B小姐必不同車(C) 乙先生與丙先生必同車(D) 如果乙先生與丁先生同車,則丙先生與 B小姐必同車 (E) 如 果 D 小姐與乙先生同車,則 C 小姐與 A小姐必同車
複選題
6. 設
。請選出正確的選項。 (A) 1< a (B) a <
(C)
(D)
(5)
複選題
7. 坐標平面上 O 為原點, P 點坐標為 (1,0) ,直線 L 的方程式為 x y - =- 2 4 。請選出 正確的選項。 (A) 在直線 L上可以找到一點 A,滿足向量
平 行 (B) 在直線 L上可以找到一點 B,滿足向量
垂 直 (C) 在直線 L上可以找到一點 C ,滿足向量
垂 直 (D) 在直線 L上可以找到一點 D ,滿足
(5) 在直線 L上可以找到一點 E ,滿足 △ EOP 為等腰三角形
複選題
8. 某社區有一千位居民,其個人月所得少於 10,000 元者占 30%,介於 10,000 元 及 20,000 元間者占 10%,介 於 20,000 元 及 40,000 元間者占 30%,介 於 40,000 元 及 80,000 元間者占 30%。請選出正確的選項。 (A) 該社區個人月所得的中位數介於 20,000 元 及 40,000 元 間 (B) 使用簡單隨機抽樣自該社區中抽出一位居民,其個人月所得在上述的四 個區間中,以介於 10,000 元 及 20,000 元間的機率最低 (C) 該社區的個人月所得平均,不可能高過 40,000 元 (D) 該社區的個人月所得平均,不可能低過該社區的個人月所得中位數 (5) 若該社區新搬入一位居民,其月所得為 200,000 元,則該社區的個人月 所得平均將增加,但增加量不會多過 200 元
申論題 (6)
【已刪除】A. 不透明袋中有三顆白球及三顆紅球。從袋中每次取出一球依序置於桌面,每 次每顆球被取出的機率相同。全部取出後,前三顆球中有相鄰兩球同為白球 的機率為
。(請化為最簡分數)
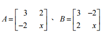
【已刪除】B. 設 x,c為實數,方陣
。已知 A 的反方陣恰好是 B 的 c 倍 (其中 c ≠ 0),則數對 (x, c) =
。(請化為最簡分數)
【已刪除】C. 設〈a
n
〉為一等差數列。已知a
2
+a
4
+a
6
=186,a
3
+ a
7
=110 。 令s
n
=a
1
+a
2
+...+a
n
。則極限
。(請化為最簡分數)
(A) 試 求 x, y 之值。( 6 分 )
(B) 投擲此骰子兩次,試求點數和為 3 的機率。( 6 分 )
二、某農業公司計畫向政府承租一筆平地和一筆山坡地,分別種植平地作物 A和 山坡地作物 B。已知平地每一單位面積的年租金是 30 萬元,山坡地每一單位 面積的年租金是 20 萬元;公司一年能夠提供土地租金的上限是 80 萬元。平 地作物 A的種植成本每單位面積一年是 40 萬元,山坡地作物 B的種植成本每 單位面積一年是 50 萬元;公司一年能夠提供種植成本的上限是 130 萬元。 每年收成後,作物 A每單位面積的利潤是 120 萬元,作物 B每單位面積的利 潤 是 90 萬元。請問公司一年應租平地和山坡地各多少單位面積,收成後可 以獲得最大利潤?又此時的最大利潤為何?( 12 分 ) (註:所租土地的面積並不限制一定要是整數單位。)
相關試卷
114年 - 114 大學入學考試中心_分科測驗:數學乙#131153
114年 · #131153
110年 - 110 大學入學考試中心_指定科目考試:數學乙#99979
110年 · #99979
109年 - 109(補考) 大學入學考試中心_指定科目考試:數學乙#89674
109年 · #89674
109年 - 109 大學入學考試中心_指定科目考試:數學乙#87876
109年 · #87876
108年 - 108 大學入學考試中心_指定科目考試:數學乙#97808
108年 · #97808
107年 - 107 大學入學考試中心_指定科目考試:數學乙#97823
107年 · #97823
106年 - 106 大學入學考試中心_指定科目考試參考試卷:數學乙#114987
106年 · #114987
106年 - 106 大學入學考試中心_指定科目考試:數學乙#62741
106年 · #62741
104年 - 104 大學入學考試中心_指定科目考試:數學乙#114989
104年 · #114989
103年 - 103 大學入學考試中心_指定科目考試:數學乙#17390
103年 · #17390