所屬科目:高中指考◆數學乙
1. 設 為實係數多項式函數。若且, 則 的值是下列哪一個選項? (A) 1 (B) 2 (C) 3 (D) 4 (E)5
2. 下列哪一個選項的值最大? (A) (B) (C) (D) (E)
4. 考慮實數,其中 a≠ 0。 令 Γ為 的圖形。試選出正確的選項。 (A) 若 a > 0 , 則 Γ會通過第一象限 (B) 若 a < 0 , 則 Γ 會通過第一象限 (C) 若, 則Γ 會通過第一象限 (D) 若 c > 0 , 則 Γ 會通過第一象限 (E)若 c< 0 , 則Γ 會通過第一象限
5. 設 是一公比為 的無窮等比數列且 。試問以下哪些數列會收 斂 ? (A) (B) (C) (D) (E)
6. 坐標平面上,Γ1 為 的圖形, Γ2 為的圖形。下列關於 Γ1 與 Γ2的 敘述,試選出正確的選項。 (A) Γ1 的圖形凹口向下 (B) Γ2 的圖形凹口向下 (C) Γ1 的圖形均在 x 軸的上方 (D) Γ2 的圖形均在 y 軸的右方 (E)Γ1 與Γ2 恰交於一點
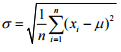
7. 小明參加某次國文、英文、數學、自然、社會五個科目的測驗,每一科的分數 均 為 0~100 分。已知小明國英數三科的分數分別為 75, 80, 85 分。試問下列哪 些選項會讓小明五科成績的平均不低於 80 分且五科標準差不大於 5 分 ? (註:標準差,其中 μ 為平均數。) (A) 自 然 75 分,社會 80 分 (B) 自然與社會兩科皆 80 分 (C) 自然與社會的平均 85 分 (D) 自然與社會兩科之和不低於 160 分且兩科差距不超過 10 分 (E)自然與社會兩科的分數都介於 80 與 82 分之間
(2) 試問Y ≤ 50 的機率P( Y≤50)為何?( 8 分 )