所屬科目:工程統計學與品質管制概要
⑴求算出任一該產品在一年內夭折的機率,稱為 p。(10 分)
⑵繪出 f (x) X 之圖形,並以斜線繪出 p之圖形。(10 分)
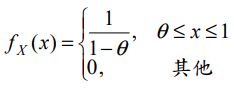
二、設隨機變數 X 服從一致分配(θ ,1),其中θ 為我們想估計的參數。隨機變數 X 的機率密度函數為已知一組隨機產生的資料為0.3, 0.5, −11, 0, 0.4。根據此組資料利用最大概似估計法估計參數θ。(10 分)
⑴若以 ANOVA 再次做檢定 ,求算 F-值及相對應的 p-值。(10 分)
⑵可否使用 T 統計量建立之統計檢定?說明理由。(10 分)
⑴ X 服從什麼分配?(10 分)
⑵平均檢驗幾次才會有一個量測值落在管制上下限之外?(10 分)
⑴SSTO。(10 分)
⑵SSA。(10 分)
⑶SSE。(10 分)