所屬科目:結構分析(包括材料力學與結構學)
一、附圖所示,為一根由兩種不同材料所構成的桿件。桿件的兩端固著於堅 實的牆壁上。材料 1 之彈性模數為 E1 = 2.0 × 105 kgf / cm 2 ,熱脹係數為 α1 = 1.0 × 10−5 / ℃;材料 2 之彈性模數為 E2 = 1.0 × 105 kgf / cm 2 ,熱脹係 數為α2 = 3.0 ×10−5 / ℃。兩種材料之桿件斷面積均為 10 cm2。現將桿件均 勻升溫 500 ℃,試求:C 點的位移量與固定端軸力。(25 分)
二、附圖所示,為一根由梁與版所合成的簡支梁結構。梁與版均使用相同的 材 料 。 該 材 料 之 彈 性 模 數 為 E = 1.0 × 105 kgf / cm 2 , 單 位 體 積 重 為 γ = 2,000 kgf / m3 。首先,梁於工廠內製作完成,並運送至工地,然後以 吊車將梁的兩端分別安放在鉸支承與輥支承上。隨後,將版構材黏著於 梁頂面上,因而形成一個 T 形斷面之撓曲構材。最後,再於跨度中央處 放置一個 P = 6,000 kgf 的集中荷重。試求:在跨度中央處,預鑄梁之頂 面與底面的撓曲應力。(25 分) 附註:預鑄梁與版的自重,均須被考慮於本問題之分析。
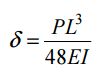
三、附圖所示,為一根梁構材。該梁下方由三根彈簧所支承。梁之撓曲剛度 為 EI = 7.2 ×1010 kgf - cm2 。 彈 簧 1 、 2 、 3 之 彈 簧 係 數 分 別 為 : k1 = 2,000 kgf / cm 、 k2 = 3,000 kgf / cm 、 k3 = 4,000 kgf / cm 。梁於跨度中 央處承受一個向下的集中載重 Q = 8,000 kgf。試求:彈簧 1、2、3 所承 受的力量。(25 分) PL3 提示訊息:簡支梁於跨度中央處之撓度
四、附圖所示,為一輛小汽車行駛在一座雙跨距的連續梁上。該汽車之輪軸 重為WAX = 1.0 tf ;前、後輪軸距離為 4.0 m。梁之撓曲剛度 EI 為一常數值。 試求:該汽車對於 A 點所能夠產生的最大反力。(25 分)