所屬科目:研究所、轉學考(插大)◆工程數學
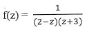
2. 10% Let Write the Laurent series expansion of f(z) for 5 <| . z -2 /<∞
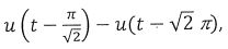
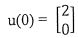
5. 15% Solve the following differential equation, using Laplace transformation method. y(t) is a function oft and u(t) is the unit step function. y" + 2y = y(0)=1, y'(0)=0
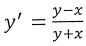
6. 20% Find the general solution of the following equation: