所屬科目:自動控制學
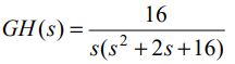
三、以漸近線(asymptote)的方式繪出下列轉移函數的波德圖(Bode plot)。 (25 分)
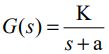
四、假設有一個物理系統其輸入與輸出之關係近似為下列一階系統的轉移 函數: K G( s) = s+a 請 說 明 如 何 在 時 域 上 , 利 用 實 驗 的 方 式 進 行 此 系 統 之 鑑 別 ( system identification)並可以分別求出 K 與 a。(10 分)
五、下 面 兩 張 圖 依 序 為 一 個 控 制 工 程 師 , 一 開 始 先 使 用 正 比 控 制 器 (proportional controller),進行一個有 3 個極點在實數軸的受控體之控 制,調整正比控制器增益值(gain)到達 A 點的系統動態響應設計。因為 此時發現其最終穩態誤差還有改善空間,因此加入一個積分器(integral controller),如此做法,無法回到之前達到 A 點的動態響應。以根軌跡設 計之方式,請說明如何再繼續設計一個補償器(compensator),達到暨可 以有 A 點位置的動態響應又可以改善最終穩態誤差?(15 分)