所屬科目:工程數學(應用數學, 線性代數、微分方程、複變函數與機率)
3.矩陣A= ,B= ,試問為何? (A) 1 (B) 2 (C) 3(D) 4
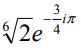
4.求=?(A) (B) (C) (D)
5. 線性轉換L:R3-R3,L(x,y,z)=(2x+3y+z,3x+3y+z,2x+4y+z),試求其逆轉換為何? (A)(B)(C)(D)
6.下列何者不是矩陣的特徵值? (A)5 (B)8 (C)11 (D)14
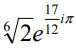
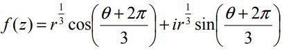
7.給定一複數函數為,請問在π < θ ≤ 3π範圍內,f(l+i)=? (A) (B) (C) (D)
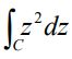
8.曲線C:y=x2,從(0,0)到(2,4),求=? (A) (B) (C) (D)
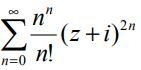
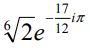
9 求複變級數 之中心點(center)及收斂半徑(radius of convergence): (A)中心點(center)為 i,收斂半徑為 e (B)中心點(center)為-i,收斂半徑為 1/e (C)中心點(center)為-i,收斂半徑為(D)中心點(center)為 i,收斂半徑為
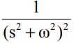
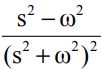
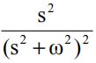
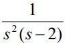
11. 求之拉普拉斯轉換(Laplace Transform),為列何者?(A) (B) (C) (D)
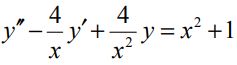
12.下列何者是微分方程式 的解?(選項中c1 和c2 為任意常數,而a1和a2為某特定常數。) (A)c1x2 +c2x2 ln(x) + a1+ a2x2(ln(x))2 (B)c1x2 + c2x2ln(x) + a1x2 (ln(x))2 + a2x4 (C)c1x + c2x4+ a1+ a2x2 (D)c1x + c2x4+ a1x2+ a2x4 ln(x)
13.請問是下列那一微分方程式的解? (A)y"'+7y"+16y'-10y=0 (B)y"'+y"-7y'-15y=0 (C)y"+8y'+17y=0 (D)3y"'+2y"-8y'-16y=0
14. 下列何者不可能y”+Ay'+By=0(A和B為常數)的解? (A) x (B)x2 (C) (D)
15.若c為常數, 分別為偏微分波方程式(wave equation)及偏微分熱方程式(heat equation),則下列何者錯誤? (A)u(t,x)=sin 2t sinx是偏微分波方程式之解 (B)是偏微分熱方程式之解 (C)是偏微分波方程式之解 (D)是偏微分熱方程式之解
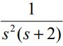
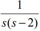
16.若f(t)之拉普拉斯轉換為為何其中符號”*”為迴旋積(convolution)? (A) (B) (C) (D)
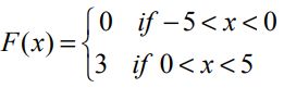
17. 有一函數 ,週期為10,則傅立葉數之值為何? (A) (B) (C) (D)
18. 連續隨機數X具有機率密度函數,求機率P(0<X ≤ 1)為何? (A) 1/9 (B) 2/9 (C) 1/3(D) 4/9
19. 設隨機變數(random variable)X 和 Y 的聯合機率密度函數(joint probability density function)為。則機率 P[4 < X ≤12,0 < Y < ∞]之值為何? (A) (B) (C) (D) 2/3
20. 某連續隨機變數 X 之值域為[0,1],密度函數為 f (x) = 2x ,試求期望值 E[X]為何? (A) (B) (C) (D)1
一、空間上有a=(1,1,1),b=(3,4,5),c=(2,3,4),d=(1,2,2)四點,求三個向量作為三邊所組成平行四邊體的體積?(10分)
(一)
(二)
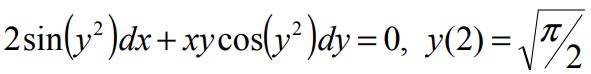
三、利用積分因子,解微分方程式 之解。