阿摩線上測驗
登入
首頁
>
工程數學(應用數學, 線性代數、微分方程、複變函數與機率)
>
108年 - 108 高等考試_三等_電力工程、電子工程、電信工程、醫學工程:工程數學#97747
> 申論題
申論題
試卷:108年 - 108 高等考試_三等_電力工程、電子工程、電信工程、醫學工程:工程數學#97747
科目:工程數學(應用數學, 線性代數、微分方程、複變函數與機率)
年份:108年
排序:0
申論題資訊
試卷:
108年 - 108 高等考試_三等_電力工程、電子工程、電信工程、醫學工程:工程數學#97747
科目:
工程數學(應用數學, 線性代數、微分方程、複變函數與機率)
年份:
108年
排序:
0
題組內容
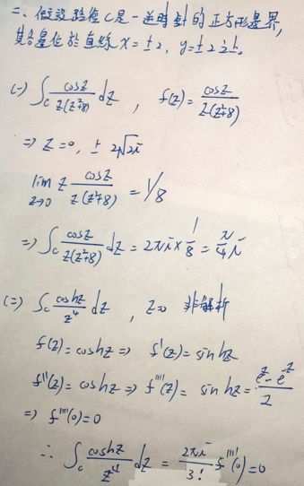
二、假設路徑C是一逆時針的正方形邊界,其各邊位於直線x=土2和y=土2之上。請求出下列積分值:
申論題內容
(一)
詳解 (共 1 筆)
詳解
提供者:hchungw