所屬科目:研究所、轉學考(插大)◆工程數學
(a)
(b)
3. (10%) In the following terms, which does not exist the Laplace transform?
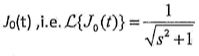
4. (10%) Given the Laplace transform of Bessel function Please derive the Laplace transform of Bessel function J0(3t).
7. (10%) For Legendre's different equation (1-x2)y"-2xy'+λy =0 in which -1≤x≤1, and 2 is a real constant, please find the serial solutions at x=0 and explain how to get the Legendre's polynomials.
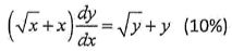
8. (10%) Find fit) from the following equation.
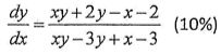
9. (10%) Solve the following equation(10%)