所屬科目:研究所、轉學考(插大)◆工程數學
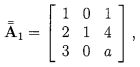
(i) Find the Eigenvalues and Eigenvectors for.
(ii) Show that there exists a matrix , which is similar to the matrix , in the Jordon form, i.e.,
(i) Find the range space (i.e., column space) of A, denoted as R(A), and the row space of A (i.e., R()) where denotes the transpose of A;
(ii) find the projection matrix such that , and;
(ii) find the eignevalues and eigenvectors of .
(ii) Is it true that if Tr(AX) = 0, then AX = 0 (zero matrix)? Prove or disprove your answer.
(a) the first-order ODE:
(b) the second-order ODE:
(a)
Problem 6. Use Laplace transform to solve the following differential equation:
(a) Assume that Re{f(z)} = x3 -3xy2. Find the imaginary part Im{f(z)} so that f(z) is analytic for all x .
(b) Assume that u(x, y) = x3 +3xy2. Show that it is impossible to find a real-valued function v(x, y) such that f(z) = u(x,y) + iu(x,y) is differentiable with respect to z for all z .
(b) Find the Taylor series expansion of f(z) about the point z = 0; that is, find the coefficients such that
in a certain neighborhood of x = 0.
(d) Let C denote the path along the y axis from -∞ to oo. Calculate f(z)dz; i.e., evaluate the following integral: