所屬科目:研究所、轉學考(插大)◆工程數學
2. The tank in Fig. 1 contains 80 Ib of salt dissolved in 500 gal of water. The inflow per minute is 20 Ib of salt dissolved in 20 gal of water. The outflow is 20 gal/min of the uniform mixture. Find the time when the salt content y(t) in the tank reaches 95% of its limiting value (as t → ∞). (10分)
4. Use the Laplace transform to solve the following ODE (10 分) y(0)=0, y'(0)=-1
5. Use the Laplace transform to solve the following ODE (10 分) y" +2y'+5y = 25t-1000(t-π),y(0)=-2,y'(0)=5
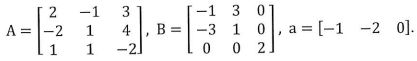
6. LetFind the resultant matrices of the following expressions or give reasons why they are undefined. Each calculation result should be given in a step-by-step way. (a) BTA;(b) (3A -2B)T (e)aBaT;(d)3AT-2BT (10分)
7.Find the det(A) = ?, det(A x B)=?, and =?.
8.f = , plot the curve. Hin. Through the quadratic form, transform it to principal axes, and express [x1 x2] in terms of the new coordinate vector [y1 y2]. Please try specifying each dimension of your plotted conic section. (10 分)
10. Find the trigonometric polynomial F(x) of the form:for which the square error with respect to the given f(x) = x2 on the interval -π <x < π is minimum. Compute the minimum value for N = 1, 2, ..., 5. (10 分)