所屬科目:研究所、轉學考(插大)◆工程數學
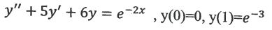
(15%)(b)
2. Solve Laplace transform of function f(x), where f(x)=(10%)
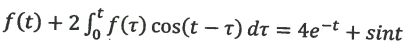
3. Solve the following integral equation: (15%)
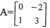
4. is diagonalizable. Evaluatee .(25%)
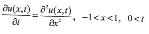
5. Solve the problem below:(25%)u(-1,t)=2,u(1,t)=4, and u(x,0)=3+x+sin(2πx)