所屬科目:工程數學(應用數學, 線性代數、微分方程、複變函數與機率)
3 給定矩陣 。則矩陣 的行列式值為何? (A)-6(B)-0.75(C)0.25(D)0.75
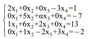
4 考慮如下所示之過度限制(over-determined)線性聯立方程式:
如果這個聯立方程式的最小平方誤差解(least-squared-error solution)為 x=α, y=β,那麼在下列敘 述之中,何者為正確? (A)α > β (B)α2 > β (C)α+β > α∙β (D)3α+2β > 0
5 考慮一個作用在的線性轉換(linear transformation)T。已知 T(1, -1) = (3, 2) 、 T(1,1) = (1, -5) 。若是 S 表示 T 的反轉換(inverse transformation),而且 S(2, -7) = (p,q) ,那麼 p+q 與下列那一個數值最接近(也就是說差值的絕對值最小)? (A)3 (B)4 (C)5 (D)6
7 我們考慮一個矩陣: ,若已知此矩陣為不可逆(not invertible) ,那麼請問 x 的數值為何? (A)-3 (B)12 (C)2 3 (D)4
8 有一條三維空間中的曲線,曲線上的點的坐標(x,y,z)以參數式來表示為:x(t)=2sin(t)、y(t)=2cos(t)、 z(t)=5t 。請問此曲線在(0,2,0)到這個區間內的長度與下列那一個數值最接近(也就是說差值的絕對值最小)? (A)2 (B)4 (C)6 (D)8
9 如果 ,那麼下列有關於 x、y 之敘述,何者正確? (A)x∙y < 0 (B)x+y < 0 (C) |x| < |y| ( |x| , |y| 分別代表 x 與 y 之絕對值) (D)x - y < x+y
11 若積分路徑 C 為逆時鐘方向且滿足 z = 1 ,則複變函數積分之值為何? (A)πi (B) -π i (C) -2π i (D) -13π i
15 下列選項之中,何者屬於線性(linear)微分方程式? (A) (B) (C) (D)
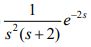
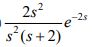
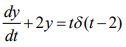
16 給定微分方程式 ,初始值為 y(0) = 0 , δ (t ) 為脈衝函數(impulse function)。則 dt y (t ) 的拉氏轉換(Laplace transform)為何? (A) (B) (C) (D)
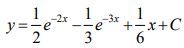
17 考 慮 微 分 方 程 式 y'' + 5 y' + 6 y = x , 初 始 值 為 y(0) = A 和 y'(0) = B 。 若其解為 ,則 A + B + C 為下列何值? (A)2 (B) (C) (D)
18 有兩位桌球選手,根據以往的經驗,在每一局的比賽之中兩人的勝率比例為 6 比 4。如果他們進 行一場五戰三勝的比賽(也就是搶先贏得三局的選手為整場比賽的勝利者) ,那麼請問這場比賽會 剛好在打完第四局的時候分出勝負的機率為何? (A) (B) (C) (D)
19 有兩個隨機變數 X 與 Y,我們以來代表其合併機率函數(joint probability function),且其值如下所示: 、 、 、 。請計算下列條件 機率之值: Prob( Y=3 X=2)= ? (A)0.25 (B)0.36 (C)0.60 (D)0.84
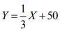
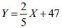
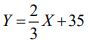
20 設 X 為一連續隨機變數(random variable) ,機率密度函數(probability density function)為常態分 布(normal distribution),平均值為 45,標準差為 15。若欲將 X 轉換為 Y,其機率密度函數仍為 常態分布,平均值為 65,標準差為 10。則 X 與 Y 的關係式為下列何者?(A) (B) (C) (D) Y = X + 20
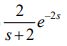
一、求 的通解(general solution) 。
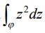
二、求,其中φ = t +i 2t , 0≤ t ≤1。
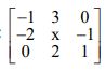
(三)求 P,使為 A 之對角化(diagonalized)矩陣。