阿摩線上測驗
登入
首頁
>
工程數學(應用數學, 線性代數、微分方程、複變函數與機率)
>
110年 - 110 高等考試_三級_電力工程、電子工程、電信工程:工程數學#102536
> 申論題
申論題
試卷:110年 - 110 高等考試_三級_電力工程、電子工程、電信工程:工程數學#102536
科目:工程數學(應用數學, 線性代數、微分方程、複變函數與機率)
年份:110年
排序:0
申論題資訊
試卷:
110年 - 110 高等考試_三級_電力工程、電子工程、電信工程:工程數學#102536
科目:
工程數學(應用數學, 線性代數、微分方程、複變函數與機率)
年份:
110年
排序:
0
申論題內容
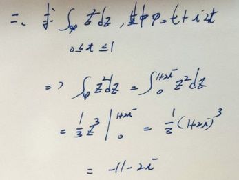
二、求
,其中φ = t +i 2t , 0≤ t ≤1。
詳解 (共 1 筆)
詳解
提供者:hchungw