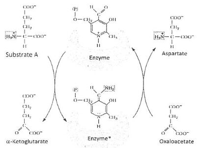
56. Glutamate dehydrogenase catalyzes the reaction shown below. In a reaction mixture containing a saturated quantity of glutamate and NAD+, how many units (U) of glutamate dehydrogenase should be added to increase the absorption at 340 nm by 1.0 OD in one minute? Please note that the molar extinction coefficient (ε) of NADH is 6220 liter/mol/cm at 340 nm, and the volume ofthe reaction mixture is 1 ml.
(A)16U (B)1.6U (C)0.16 U (D) 0.016 U (E) 0.0016 U