所屬科目:高中(學測,指考)◆數學
3. 某射擊遊戲的玩家要避開障礙物射擊目標。今在遊戲畫面 中設立一直角坐標系,以長方形螢幕左下角點 O 為原點, 螢幕下方的邊緣為 x軸、螢幕左方的邊緣為 y 軸,目標物放在點 P(12,10)。畫面中有兩面牆(牆厚度可忽略不計), 一面牆由點 A(10,5) 水平延伸到 點 B(15,5) ,另一面牆由點 C(0,6) 水平延伸到點 D(9,6),如右圖之示意圖。若玩家在點 Q 可直線射擊點 P 的目標物,不會被兩面牆阻擋。下列哪一個選項有可能是點 Q 的坐標? (A) (6,3) (B) (7,3) (C) (8,5) (D) (9,1) (E) (9,2)
4. 已知坐標平面上有一向量= −( 2,3) 及兩點 A、 B ,且點 A的 x坐標和 y 坐標、點 B 的 x坐標和 y 坐標都落在區間 [0,1] 內 ,試問 的最大值為下列哪一個選項? (A) (B)(C)(D) 5 (E)
5. 2 設 二次函數f(x)=x2+bx+c ,其中b,c為實數。已知 f(x-2)=f(-x-2)對任意實數 x均成立,且當 −3≤x≤1 時, f (x) 的最大值會是最小值的 4 倍,則 f (x) 的最小值是下列哪一個選項? (A) 0 (B)(C) 3 (D) 4 (E) 6
6. 某大樓居民在大樓外牆展示聖誕樹造型燈飾,如圖所示,從五樓外牆某處 P 向四樓地板的兩端 A,B 拉小燈泡形成等腰三角 形 PAB,其中;向三樓地板的兩端 C,D 拉小燈泡形成等腰三角形 PCD;向二樓地板的兩端 E,F 拉小燈泡形成等腰三角形 PEF。假設每層樓等高且樓地板等長。若五樓地板在三角形 PAB 內部所截出的線段長度為樓地板長度的,則五樓地板在三角形 PEF 內部所截出的線段長度是樓地板長度的幾分之幾?(燈飾粗細可忽略不計) (A)(B)(C)(D)(E)
7. 有一城市分為東、西兩區。兩區各有一個氣溫偵測站,該城市當天的最高溫(單位: 攝氏度) 是取這兩區當天氣溫的最大值來記錄。下表顯示東、西兩區某月(共 30 天) 每日最高溫分布的情形。 根據上表,該城市當月每日最高溫分布的情形如下表。試選出有可能為數組(A,B,C,D) 的選項。 (A) (0,15,15,0) (B) (3,12,15,5) (C) (0,9,16,5) (D) (3,7,15,5) (E) (0,12,13,5)
8. 已知正實數數列 a,b,c,d,e為等比數列,且 a<b<c<d<e,試選出下列為等比數列的選項。 (A) a,-b,c,-d (B) e,d,c,b,a (C) loga ,logb,logc ,logd ,loge (D) (E) abc,bcd,cde
11. 某國家過去五年的碳排放總量,由第 1 年的 X 億公噸二氧化碳當量(CO2e)下降至 第 5 年的 Y 億公噸二氧化碳當量(CO2e),達到每年平均減碳 5% 的效益,亦即 Y = (1−0.05)4X。將五年的碳排放總量與年成長率記錄如下表,其中第n年碳排放成長率=, n = 2,3,4,5。 試選出正確的選項。 (A) A = 0.93X (B) Y ≤ 0.8X (C)= −0.05 (D)= −0.05 (E) 0.93(1+p)(1+q)(1+r)=(0.95)4
12. 小明寫了一個程式讓機器人在2×2的棋盤中移動,如圖所示。每執行一次,程式會選擇「上、下、左、右」中的某一個方向,不同方向被選擇的機率均相等,並指示機器人依該方向移動一格,但若選到的方向會跑出棋盤,則機器人該次會停在原地。每次執行都是從上次所在位置依程式重新選取的方向移動,假設機器人的初始位置在 A。令執行程式n次後,機器人停留在 A、 B、 C 、 D的機率分別為 。試選出正確的選項。(A)(B)(C)(D)(E)
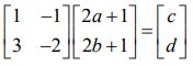
三 、 選填題 13. 已知 a,b,c,d為實數, 且。 若, 則c − 3d 的值為________。
14. 某校全體高三學生都有報考學測數學 A或數學 B ,在這些學生中只報考數學 A的學生 占全體高三學生的 。報考數學 A的學生中有的學生同時也報考數學 B 。則只報考 數學 B 的學生在該校所有報考數學 B 的學生中所占的比例為_________。(化為最簡分數)
15. 已 知 P1、P2、Q1、Q2、R為平面 上 相異五點,其中P1、P2、R三點不共線,且滿足 ,則=______ ________ 。
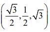
16. 在空間坐標系中,有一球心坐標在 O(0,0,0) 且北極點在 N(0,0,2)的地球儀。已知球面上 點 A坐標為,赤道上距離點 A最遠的點為點 P,則在通過點 A、點 P 的大圓上這兩點的劣弧長為______。(化為最簡分數)
20. 試求的長度與四面體 ABCD 的體積,並求此四面體以 ∆BCD 為底面時,頂點 A 到底面的高度。(角錐體積=)