所屬科目:高中(學測,指考)◆數學
2. 某品牌計算機在計算對數時需按。某生在計算時(其中 a > 1 且 b > 1)順序弄錯,誤按,所得為正確值的倍。試選出 a,b 間的關係式。 (A)a2=b3 (B)a3=b2 (C)a4=b9 (D)2a=3b(E)3a=2b
3. 在處理二維數據時,有種方法是將數據垂直投影到某一直線,並以該直線為數線,進而 了解投影點所成一維數據的變異。下圖的一組二維數據,試問投影到哪一選項的直線, 所得之一維投影數據的變異數會是最小? (A)y=2x (B)y=-2x (C)y=-x (D) (E)
4. 設等差數列 之首項 a1 與公差 d 皆為正數,且loga1 ,loga3 ,loga6 依序也成等差數列。試選出數列 loga1 ,loga3 ,loga6的公差。 (A) log d (B) (C) (D) log 2d (E) log3d
5. 已知某地區有 30%的人口感染某傳染病。針對該傳染病的快篩試劑檢驗,有陽性或陰性 兩結果。已知該試劑將染病者判為陽性的機率為 80%,將未染病者判為陰性的機率則為60%。為降低該試劑將染病者誤判為陰性的情況,專家建議連續採檢三次。若單次採檢判 為陰性者中,染病者的機率為 P;而連續採檢三次皆判為陰性者中,染病者的機率為 P '。 試問最接近哪一選項? (A) 7 (B) 8 (C) 9 (D) 10 (E) 11
6. 設坐標平面上兩直線 L1, L2的斜率皆為正,且 L1, L2有一夾角的平分線斜率為。另一直線 L通過點 且與L1, L2所圍的有界區域為正三角形,試問 L的方程式為下列哪一選 項? (A) 11x-9y=19 (B) 9x-11y=25 (C) 11x+9y=25 (D) 27x-33y=43 (E) 27x+33y=65
7. 設整數 n 滿足| 5n-21| ≥7| n | 。試選出正確的選項。(A)| 5n-7n| ≥21 (B)(C)7n≤5n-21(D)(5n-21)2≥49n2(E) 滿足題設不等式的整數 n 有無窮多個
8. 坐標平面上, △ABC 三頂點的坐標分別為 A(0,2), B(1,0), C(4,1),試選出正確的選項。 (A) △ABC 的三邊中, 最長 (B) sin A(E) △ABC 的外接圓半徑比 2 小
9. 已知 P為 △ABC 內一點,且 ,其中 a , b 為相異實數。設 Q R, 在同一平面上,且。試選出正確的選項。 (A) Q,R 也都在 △ABC 內部 (B) (C) △ABP 面積 = △ACQ 面積 (D) △BCP 面積 = △BCQ 面積 (E) △ABP 面積 > △ABR 面積
10. 給定一實係數三次多項式函數f(x) =ax3+bx2+cx+3 。令 g(x)= f (-x)-3,已知 y=g(x) 圖形的對稱中心為 (1,0) 且 g(-1) <0 。試選出正確的選項。 (A) g(x)=0 有三相異整數根 (B) a < 0 (C) y=f(x)圖形的對稱中心為 ( -1, -3) (D) f (100)<0 (E) y=f(x)的圖形在點 (-1,f(-1))附近會近似於一條斜率為 a 的直線
11. 下圖為一個積木的示意圖,其中 ABC 為一直角三角形, ∠ACB=90° , = 5、= 6, 且 ADEB 與 ADFC 皆為矩形。試選出正確的選項。 (A) 將此積木沿平面 ACE 切下,可切得兩個四面體 (B) 平面 ADEB 與 ADFC 所夾銳角大於 45° (C)∠CEB<∠AEB (D) tan∠AEC<sin ∠CEB(E)∠CEB<∠AEC
12. 設f(x), g(x) 皆為實係數多項式,其中g(x)是首項係數為正的二次式。已知(g(x))2除以f(x)的餘式為g(x),且 y=f(x)的圖形與 x 軸無交點。試選出不可能是y=g(x)圖形頂點 的 y 坐標之選項。 (A) (B) 1 (C) (D) 2 (E) π
15.如圖,王家有塊三角形土地△ABC,其中=16公尺。政府擬徵收其中梯形 DBCE 部分, 開闢以直線 DE BC , 為邊線的馬路,其路寬為 h 公尺,這讓王家土地 只剩原有面積的。經協商,改以開闢平行直線 BE FC , 為邊線的馬 路,且路寬不變,其中∠EBC=30° ,則只需徵收△BCE 區域。依此協商,王家剩餘的土地△ABE 有 ________ 平方公尺。
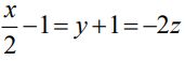
16. 坐標空間中,平面 x-y+2z=3上有兩相異直線 L:與 L'。 已知 L也在另一平面 E 上,且 L'在 E 的投影與 L重合。 則 E 的方程式為 x + ________ y+ ________ z =________。
18. 試問點 B的坐標為下列哪一選項?(單選題,3 分) (A) (0,2) (B) (C)(D) (E) (2,0)
19. 令 O 為原點,掃描棒停止時黑、白兩端所在位置分別為 A' , B'。試在答題卷上作圖區中 以斜線標示掃描棒掃過的區域 R;並於求解區內求 cos∠OA' B'及點 A' 的極坐標。 (非選擇題,6 分)
20. (承 19 題)令Ω表示掃描棒在第一象限所掃過的區域,試分別求Ω與 R的面積。 (非選擇題,6 分)