所屬科目:技檢◆氣壓-乙級
(A)(B)(C) (D) 。
(A)復歸信號端 (B)輸入信號端 (C)輸出信號端 (D)動作信號端 。
(A)濾清器 (B)人工操作排水器 (C)自動操作排水器 (D)濾清器附自動排水 。
(A)雙向輥輪閥 (B)單向輥輪閥 (C)手動輥輪閥 (D)腳踏輥輪閥 。
(A)氣障接收器 (B)背壓感知器 (C)反射式感知器 (D)氣流阻斷式感知器 。
(A)氣壓定速馬達(單向運轉) (B)氣壓定速馬達(可正逆運轉) (C)可變排量氣壓馬達(單向運轉) (D)可變排量氣壓馬達(可正逆運轉) 。
(A)電力-氣壓轉換器 (B)氣壓-電力轉換器 (C)氣壓-液壓轉換器 (D)液壓-氣壓轉換器 。
(A)手按動作,彈簧復歸 a 接點 (B)手按動作,彈簧復歸 b 接點 (C)手按動作,手按復歸 a 接點 (D)手按動作,手按復歸 b 接點 。
(A)ON Delay a 接點 (B)ON Delay b 接點 (C)OFF Delaya 接點 (D)OFF Delay b 接點 。
(A)Relay 之 a 接點 (B)Relay 之 b 接點 (C)Timer 之 a 接點 (D)Timer 之 b 接點 。
(A)按鈕開關 a 接點 (B)按鈕開關 b 接點 (C)微動開關 a接點 (D)微動開關 b 接點 。
(A)進氣節流(meter in)及氣壓缸前進速度加快迴路 (B)排氣節流(meter off)迴路 (C)進氣節流(meter in)及氣壓缸後退速度加快迴路 (D)氣壓缸後退速度變慢迴路 。
(A)單動缸延時退回 (B)單動缸延時伸出 (C)單動缸延時伸出/退回 (D)單動缸伸出速度 。
(A)進氣節流 (B)排氣節流 (C)進排氣皆節流 (D)進排氣皆未節流 。
(A)A=3d (B)A=4d (C)B=5d (D)B=6d 。
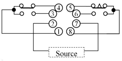
(A)1,4 (B)6,8 (C)5,8 (D)1,3 。
(A)1,4 (B)1,3 (C)5,8 (D)6,8 。
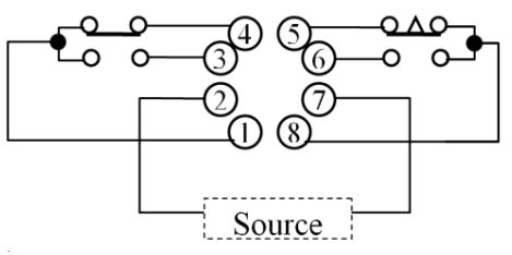
(A)1,4 (B)5,9 (C)8,4 (D)8,12 。
(A)9 (B)12 (C)14 (D)13 。
(A)1 (B)4 (C)8 (D)12 。