阿摩線上測驗
登入
首頁
>
自動控制學
> 95年 - 095年地方自動控制#50512
95年 - 095年地方自動控制#50512
科目:
自動控制學 |
年份:
95年 |
選擇題數:
0 |
申論題數:
8
試卷資訊
所屬科目:
自動控制學
選擇題 (0)
申論題 (8)
⑴何謂系統階數(system order)。(5 分)
⑵何謂系統極點(pole)。(5 分)
⑶說明何為系統閉迴路頻寬(closed-loop bandwidth)。(5 分)
⑷請說明因果性(causality)在控制系統中的意義。(5 分)
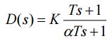
【已刪除】二、欲以 phase-lead compensator 建立 45°的 phase lead,
, 則α應取多少?(20 分) αTs + 1
【已刪除】三、有一系統的狀態方程式為
請繪出此系統的狀態流程圖(state flow diagram)。(20 分)
【已刪除】四、畫
的 Nyquist Plot。(20 分)
【已刪除】五、考慮下圖所示兩個滑車,
其中 u 為馬達轉動車輪與鐵軌摩擦所產生之推力,m
1
、m
2
為車廂質量,K 為兩車間
連結機構之彈簧係數,f 為此彈簧之作用力。
欲考慮此連結彈簧在何時會斷裂必需知道此彈簧受力的動態情形,請依此需要寫出
足以描述此彈簧受力情形之系統狀態方程式。(20 分)
相關試卷
114年 - 114 高等考試_二級_機械工程:自動控制學#131590
114年 · #131590
114年 - 114 關務特種考試_三等_機械工程(選試英文):自動控制#126653
114年 · #126653
113年 - 113-2 國營臺灣鐵路股份有限公司_從業人員甄試_第8階-助理工程師-電機:自動控制#137141
113年 · #137141
113年 - 113 高等考試_二級_機械工程:自動控制學#123065
113年 · #123065
113年 - 113 關務特種考試_三等_機械工程(選試英文):自動控制#119475
113年 · #119475
112年 - 112 地方政府特種考試_三等_機械工程:自動控制#118354
112年 · #118354
112年 - 112 高等考試_二級_機械工程:自動控制學#116760
112年 · #116760
112年 - 112 高等考試_三級_機械工程:自動控制#115741
112年 · #115741
112年 - 112 關務特種考試_三等_機械工程:自動控制#113920
112年 · #113920
111年 - 111 地方政府特種考試_三等_機械工程:自動控制#112361
111年 · #112361