阿摩線上測驗
登入
首頁
>
工程數學(應用數學, 線性代數、微分方程、複變函數與機率)
> 97年 - 97 鐵路特種考試_高員三級_電力工程:工程數學#36631
97年 - 97 鐵路特種考試_高員三級_電力工程:工程數學#36631
科目:
工程數學(應用數學, 線性代數、微分方程、複變函數與機率) |
年份:
97年 |
選擇題數:
20 |
申論題數:
4
試卷資訊
所屬科目:
工程數學(應用數學, 線性代數、微分方程、複變函數與機率)
選擇題 (20)
1 試求初始值問題(initial value problem)的解: y" + y = t ; y(0) =1; y'(0) = 0 。 (A) y(t)=t+sint-cost (B) y(t)=tsint- cost (C) y(t)=t+tsint- cost (D) y(t)=t- sint+cost
2 假設 y' + p(x) y = q(x) y
a
稱為(1)式,則下列何者不正確? (A) 若a = 0 ,則(1)式為線性微分方程式 (B) 若a = 1,則(1)式為非線性微分方程式 (C) 若a = 0 ,則(1)式為白努利(Bernoulli)微分方程式 (D) 若a = 1,則(1)式為白努利(Bernoulli)微分方程式
3 下列那一組函數是線性相依(linear dependent)?
(A)y
1
=cos wx;y
2
=sin wx
(B)y
1
=e
x
, y2=e
2x
,y
3
=xe
x
(C)y
1
=e
3x
, y2=e
6x
,y
3
=e
9x
(D)y
1
=x,y
2
=3x,y
3
=x
2
4 下列何者為 y' + 2xy = 4x 之解?
5 下列那一個矩陣的行空間(column space)含有向量
,但不包含
?
6 下列那一個是正規矩陣(normal matrix)?
7 令矩陣
。假設有一對稱矩陣 B,對於任意 x
R3 滿足二次式(quadratic form) x
T
Bx= x
T
Ax , 則 B 的三個特徵值之相乘積為何? (A) 0 (B) -1 (C) 1 (D) 15
8 若 A 及 B 均為n ✕ n 矩陣,下列何者是不正確的? (A) det(AB)=det[A]det[B] (B) det(A+B)=det[A]+det[B] (C) det(aA)=a
n
det[A] ; A 是一個n ✕ n 矩陣,a 是常數 (D) det(A
-1
) =
其中 det[A] ≠ 0
9 試求函數f ( t ) sin
2
( π t/2 ) = 的拉式轉換(Laplace transform):
10 脈衝函數(impulse function)δ (t) 進入下列系統後,何者的響應將不會趨於固定值?
11 設C =
為逆時針方向之圓積分路徑,則下列何者不正確?
12 下列那一個等式,對於任何複數 z 不一定成立?
13 令
為一複數函數,則下列何者不是 f (z) 之隔離奇異點(isolated singular point)? (A) z = -1 (B) z = 0 (C) z =1/ 2 (D) z =1
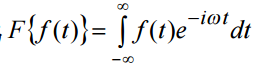
14 定義傅立葉轉換為
,求出
的傅立葉轉換(Fourier transform):
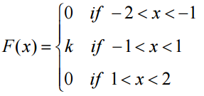
15 有一週期函數
,週期為 4,k 為常數,則傅立葉係數
(A)0
16 若向量u= a
2
i-j + 3ak 與v = ai + (a + 3)j+ ak 互為垂直,則a 不可能是下列何值? (A) -3 (B) -1 (C) 1 (D) 2
17 令σ (x, y,z) 為空間中某物體之密度分佈,T 為該物體所存在之領域(region),試問下列何者表其體積 (volume)?
18 級數
與下列那一級數相等?
19 拋擲一枚沒有偏差(也就是出現正面或反面機會都相等)的銅板二次,已知其中一次出現正面,則這二 次拋擲都是出現正面的機率為何? (A) 1 (B) 1/2 (C) 1/3 (D) 1/4
20 設一隨機變數(random variable)X,其期望值(mean value) E[X] =1,其均方差(variance)
。 令Y = 3X + 2,則 E[Y
2
] 之值為何? (A) 36 (B) 34 (C) 25 (D) 18
申論題 (4)
【已刪除】一、求出下列微分方程式的通解: y'+2y'+y=-3e
-x
+8xe
-x
+1 (其中
)。(10 分)
【已刪除】二、
,求 A
1000
=?(5 分)及 A
-1000
=?(5 分)
三、應用拉式轉換(Laplace transform),求下列常微分方程式之特解(particular solution):(15 分) ty "- ty' + y = 0,y(0)= 0, y'(0) = 1
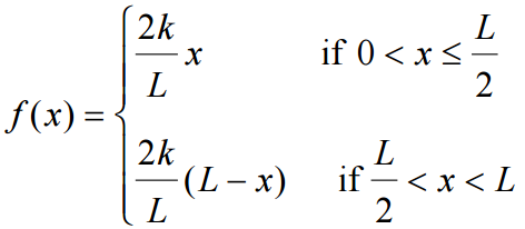
【已刪除】四、有一函數
,求其半幅展開的傅立葉餘弦級數(以偶週期函數展開)。(15 分)
相關試卷
114年 - 114 專技高考_電機工程技師:工程數學(包括線性代數、微分方程、複變函數與機率)#133679
114年 · #133679
114年 - 114 專技高考_電子工程技師:工程數學(包括線性代數、微分方程、向量分析、複變函數與機率)#133677
114年 · #133677
114年 - 114 調查特種考試_三等_電子科學組:工程數學#129578
114年 · #129578
114年 - 114 國家安全情報特種考試_三等_電子組(選試英文):工程數學#127780
114年 · #127780
113年 - 113 專技高考_電子工程技師:工程數學(包括線性代數、微分方程、向量分析、複變函數與機率)#123976
113年 · #123976
113年 - 113 專技高考_電機工程技師:工程數學(包括線性代數、微分方程、複變函數與機率)#123971
113年 · #123971
113年 - 113 調查特種考試_三等_電子科學組:工程數學#122110
113年 · #122110
113年 - 113 身心障礙特種考試_三等_電力工程:工程數學#119517
113年 · #119517
112年 - 112 地方政府特種考試_三等_電力工程、電子工程:工程數學#118376
112年 · #118376
112年 - 112 專技高考_電機工程技師:工程數學(包括線性代數、微分方程、複變函數與機率)#117639
112年 · #117639