阿摩線上測驗 登入

98年 - 98 身心障礙特種考試_三等_電力工程、電子工程:工程數學#36819

科目:工程數學(應用數學, 線性代數、微分方程、複變函數與機率) | 年份:98年 | 選擇題數:20 | 申論題數:4

試卷資訊

所屬科目:工程數學(應用數學, 線性代數、微分方程、複變函數與機率)

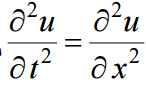
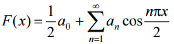
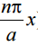
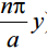
選擇題 (20)