阿摩線上測驗 登入

試題詳解

試卷:111年 - 111 鐵路、國家安全情報特種考試_高員三級、三等_電力工程、電子工程、電子組(選試英文):工程數學#108623 | 科目:工程數學(應用數學, 線性代數、微分方程、複變函數與機率)

試卷資訊

試卷名稱:111年 - 111 鐵路、國家安全情報特種考試_高員三級、三等_電力工程、電子工程、電子組(選試英文):工程數學#108623

年份:111年

科目:工程數學(應用數學, 線性代數、微分方程、複變函數與機率)

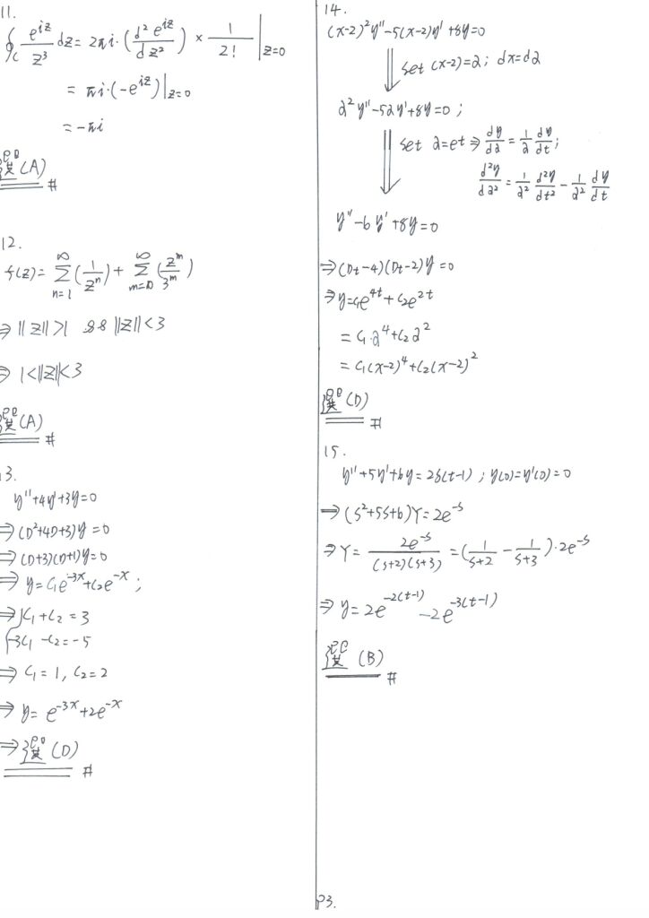
11. 令C:|z|=3為以原點為圓心而半徑為3的圓周,則逆時鐘繞著C轉一圈所計算出來的複數積分之值為何?
(A) -πi
(B) 2π i
(C) -2π i
(D)0
正確答案:登入後查看