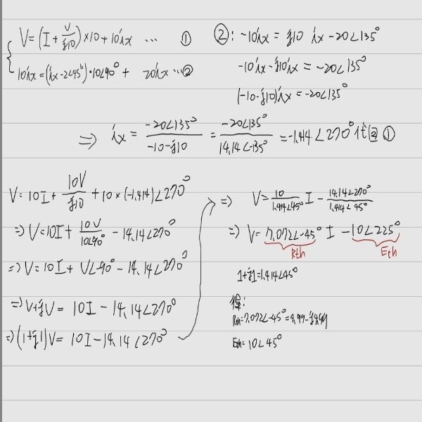
22. 如右圖所示之電路圖,請問a、b之間的戴維寧等效電壓(Vth)及阻抗(Zth)分別為何?
(A) Vth = 10∠45° V、Zth = 5 - j5 Ω
(B) Vth = 10∠-45° V、Zth = 5 + j5 Ω
(C) Vth = 5∠45° V、Zth = 5 + j5 Ω
(D) Vth = 5∠-45° V、Zth = 5 - j5 Ω
答案:登入後查看
統計: A(40), B(21), C(6), D(13), E(0) #3160051
統計: A(40), B(21), C(6), D(13), E(0) #3160051
