阿摩線上測驗
登入
首頁
>
A.基本電學、B.電工機械
>
103年 - 103 台灣糖業股份有限公司_新進工員甄試_電機:A.基本電學 B.電工機械#82492
> 試題詳解
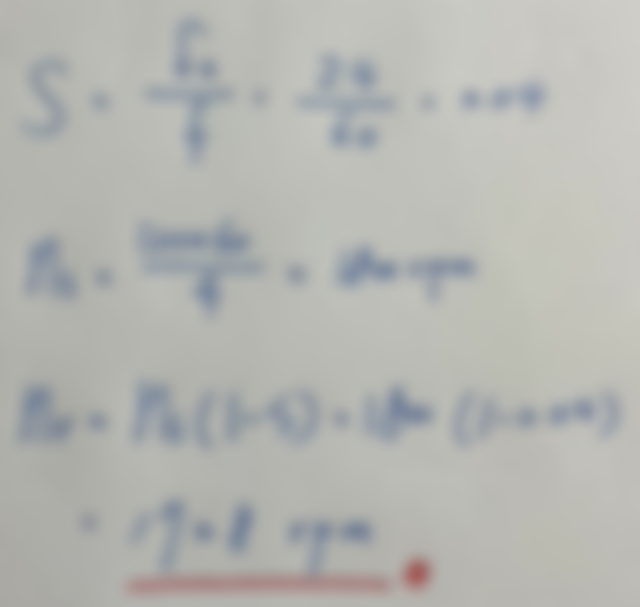
48.某 60 Hz、4 極三相感應電動機在額定頻率及電流下運轉,若轉子頻率為 2.4 Hz,則轉子速度為何?
(A) 1650 rpm
(B) 1690 rpm
(C) 1728 rpm
(D) 1764 rpm
答案:
登入後查看
統計:
A(2), B(5), C(49), D(5), E(0) #2167679
私人筆記 (共 1 筆)
【給你考運】勞贖
2023/02/13
私人筆記#4884076
未解鎖
個人答案試寫(僅供參考)
(共 12 字,隱藏中)
前往觀看
6
0
相關試題
1.半導體元件之原子結構中,最外層軌道有幾個電子?(A)1(B)2 (C) 4 (D) 8
#2167632
2.市售行動電源規格 20000 mAh,充滿電後可儲存多少電量?(A)20 庫侖(B)3600 庫侖 (C) 20000 庫侖 (D) 72000 庫侖
#2167633
3.有一台 1HP/AC110 V 抽水機效率 80%,接 AC110 V 電源,請問使用電流為何? (A)3.2A(B) 5.4 A (C) 6.8 A(D) 8.5 A
#2167634
4.電荷 Q= -20 庫侖,由 A 點移動到 B 點須做功 100 焦耳,則 VAB=? (A) - 5 V (B) +5 V (C) - 0.2 V (D) +0.2 V
#2167635
5.線徑 2 mm、長 200 公尺之導線,電阻 1.8 Ω,另一同材質之導線,線徑 1.5 mm、長 100 公尺,則其電阻為多少?(A)1.6 Ω (B) 1.8 Ω (C) 2.4 Ω (D) 4.8 Ω
#2167636
6.有一電動機之銅線圈在運轉前測得電阻10 Ω(銅線圈溫度15.5℃),運轉後電阻變成12 Ω,請問線圈平均溫升多少℃? (A) 25 (B) 50 (C) 65.5 (D) 100
#2167637
7.三個電阻串聯後接至一直流電源,已知電阻比 R1:R2:R3=1:4:7,若 R3=50Ω 其消耗功率為 100 瓦,則 R2消耗功率 幾瓦? (A) 14.3 (B) 32.6 (C) 57.1 (D) 175
#2167638
8.兩電壓表串聯後接 250 V 電壓,電壓表規格 VA為 200 V/100 kΩ、VB為 150 V/150 kΩ(滿刻度電壓/內阻), 則下列選項何者正確? (A) VA電壓表燒毀 (B) VA電壓表指示值為 200 V (C) VB電壓表燒毀 (D) VB電壓表指示值為 150 V
#2167639
9.一電流表其滿刻度電流 100 mA 內阻 5 Ω,欲擴大測量範圍至 2 A,該如何接線? (A)並聯一個(5/19) Ω 電阻 (B)並聯一個(1/4) Ω 電阻 (C)串聯一個 95 Ω 電阻 (D)並聯一個(1/19) Ω 電阻
#2167640
10.如【圖 10】所示電路,求 a、b 兩端的電壓 Vab為多少? (A) 1/3 V (B) 1 V (C) 4/3 V (D) 3 V
#2167641
相關試卷
109年 - 中國輸出入銀行 109 年新進工員甄試試題:水電技工【R4002】科目二:基本電學、電機機械#95069
2020 年 · #95069
109年 - 109 台灣糖業股份有限公司_新進工員甄試_電機:A.基本電學、B.電工機械#90992
2020 年 · #90992
108年 - 108 臺灣菸酒股份有限公司_從業職員及從業評價職位人員甄試:基本電學大意與電工機械大意(重複)#78658
2019 年 · #78658
108年 - 108 台灣糖業股份有限公司_新進工員甄試_電機:A.基本電學、B.電工機械#78259
2019 年 · #78259
108年 - 108 臺灣菸酒股份有限公司_從業職員及從業評價職位人員甄試試題_從業評價職位人員/水電:基本電學大意與電工機械大意#74401
2019 年 · #74401
107年 - 107 台灣糖業股份有限公司_新進工員甄試_電機:A.基本電學、B.電工機械#73054
2018 年 · #73054
106年 - 106 台灣糖業股份有限公司_新進工員甄試_電機:A.基本電學 B.電工機械#63888
2017 年 · #63888
105年 - 台糖電機#72662
2016 年 · #72662
104年 - 台灣自來水公司104 年評價職位人員升任分類職位人員甄試試題#73120
2015 年 · #73120
103年 - 103 台灣糖業股份有限公司_新進工員甄試_電機:A.基本電學 B.電工機械(重複)#112044
2014 年 · #112044