阿摩線上測驗
登入
首頁
>
A.基本電學、B.電工機械
>
103年 - 103 台灣糖業股份有限公司_新進工員甄試_電機:A.基本電學 B.電工機械(重複)#112044
> 試題詳解
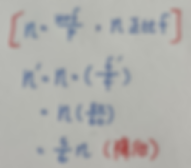
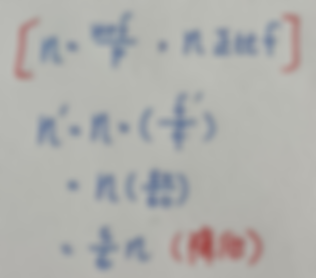
60.某三相 60 Hz 之感應電動機接於 50 Hz 相同電壓之電源時,其轉速將如何?
(A)降低
(B)增加
(C)不變
(D)為零
答案:
登入後查看
統計:
A(9), B(8), C(4), D(2), E(0) #3027718
詳解 (共 1 筆)
MoAI - 您的AI助手
B1 · 2025/11/22
#7142447
1. 題目解析 題目詢問的是一台原設計...
(共 1084 字,隱藏中)
前往觀看
0
0
私人筆記 (共 1 筆)
摩友(100006037726337)
2023/02/13
私人筆記#4883951
未解鎖
個人答案試寫(僅供參考)
(共 12 字,隱藏中)
前往觀看
5
0
相關試題
54.某三相感應電動機轉子每相電阻為 0.5 Ω,轉子每相電抗為 4 Ω,此電動機發生最大轉矩時的轉差率約為何? (A) 3.5% (B) 8.6% (C) 12.5% (D) 15.1%
#3027712
55.佛萊明左手定則又稱為何者? (A)安培定則 (B)發電機定則 (C)電動機定則 (D)螺線管定則
#3027713
56.某三相 4 極繞線式轉子感應電動機,滿載時轉差率為 0.06,若負載轉矩不變下,將轉子合成電阻增加為原來五 倍,則轉差率變為多少? (A) 0.01 (B) 0.1 (C) 0.3 (D) 0.5
#3027714
57.某三相 4 極感應電動機在全壓啟動時之起動轉矩為 140 牛頓-米。若採用 Y-Δ 起動法,則其起動轉矩約為多少牛 頓-米? (A) 46.7 (B) 70.1 (C) 80.8 (D) 99.1
#3027715
58.三相感應電動機作無載試驗,可測量出下列何者? (A)定子銅損 (B)鐵損 (C)轉子電阻 (D)定子等效阻抗
#3027716
59.三相感應電動機定子與轉子間的空氣隙愈大則: (A)效率愈好 (B)磁阻愈小 (C)激磁電流愈小 (D)功率因數愈差
#3027717
61.三相感應電動機之起動電流與負載轉矩關係為何? (A)成正比 (B)成平方正比 (C)成反比 (D)無關
#3027719
62.單相感應電動機在起動瞬間其轉差率為何? (A) 2 (B) 1 (C) 0 (D) -2
#3027720
63.單相感應電動機轉子對正轉旋轉磁場之轉差率為 0.23,則對反轉旋轉磁場之轉差率為何? (A) 1.77 (B) 0.23 (C) -0.23 (D) -1.77
#3027721
64.下列哪一種單相感應電動機之起動轉矩最大? (A)分相式 (B)推斥式 (C)蔽極式 (D)電容起動式
#3027722
相關試卷
112年 - 112 台灣糖業股份有限公司_新進工員甄試_儀電、電機:電工機械#118778
2023 年 · #118778
109年 - 中國輸出入銀行 109 年新進工員甄試試題:水電技工【R4002】科目二:基本電學、電機機械#95069
2020 年 · #95069
109年 - 109 台灣糖業股份有限公司_新進工員甄試_電機:A.基本電學、B.電工機械#90992
2020 年 · #90992
108年 - 108 臺灣菸酒股份有限公司_從業職員及從業評價職位人員甄試:基本電學大意與電工機械大意(重複)#78658
2019 年 · #78658
108年 - 108 台灣糖業股份有限公司_新進工員甄試_電機:A.基本電學、B.電工機械#78259
2019 年 · #78259
108年 - 108 臺灣菸酒股份有限公司_從業職員及從業評價職位人員甄試試題_從業評價職位人員/水電:基本電學大意與電工機械大意#74401
2019 年 · #74401
107年 - 107 台灣糖業股份有限公司_新進工員甄試_電機:A.基本電學、B.電工機械#73054
2018 年 · #73054
106年 - 106 台灣糖業股份有限公司_新進工員甄試_電機:A.基本電學 B.電工機械#63888
2017 年 · #63888
105年 - 台糖電機#72662
2016 年 · #72662
104年 - 台灣自來水公司104 年評價職位人員升任分類職位人員甄試試題#73120
2015 年 · #73120