阿摩線上測驗
登入
首頁
>
工程數學(應用數學, 線性代數、微分方程、複變函數與機率)
>
109年 - 109 調查特種考試_三等_電子科學組:工程數學#90030
> 申論題
申論題
試卷:109年 - 109 調查特種考試_三等_電子科學組:工程數學#90030
科目:工程數學(應用數學, 線性代數、微分方程、複變函數與機率)
年份:109年
排序:9
申論題資訊
試卷:
109年 - 109 調查特種考試_三等_電子科學組:工程數學#90030
科目:
工程數學(應用數學, 線性代數、微分方程、複變函數與機率)
年份:
109年
排序:
9
題組內容
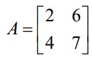
四、考慮如下所示之矩陣(matrix):
申論題內容
⑴求出此矩陣之所有的特徵值(characteristic values,亦稱 eigenvalues)。 (8分)