所屬科目:工程數學(應用數學, 線性代數、微分方程、複變函數與機率)
⑴ω0 =?
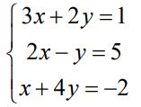
三、考慮如下所示過度求定(over-determined)的線性聯立方程組:求出此線性聯立方程組的最小平方誤差解(least-square-error solution)。 (10分)
⑷令 Γ 表示在複數平面上的單位圓之中以逆時針方向從1+i∙0走到0+i∙1的 曲線。計算下列積分的結果:。(7分)