阿摩線上測驗
登入
首頁
>
工程數學(應用數學, 線性代數、微分方程、複變函數與機率)
>
112年 - 112 地方政府特種考試_三等_電力工程、電子工程:工程數學#118376
> 申論題
題組內容
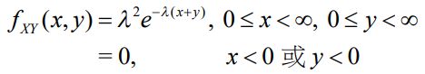
四、設 X 與 Y 的聯合機率密度函數(joint probability density function)是
其中 λ> 0 。設 Z=X+Y 。
(二)求 Z 的累積分布函數(cumulative distribution function) 。(5 分)
相關申論題
一、請求下列微分方程式的解:y"+4 y = 1+ x+ sin x, y (0)=0, y'(0)= 0 (15 分)
#505471
(一)求解 A 的特徵值(eigenvalue)與對應的特徵向量(eigenvector) 。(4 分)
#505472
(二)求解 A2的特徵值與對應的特徵向量。 (4 分)
#505473
(三)解 。(7 分)
#505474
三、請利用留數(residue)計算 。(10 分)
#505475
(一)求 Z 的期望值(mean)。(5 分)
#505476
(二)求得矩陣 A 之零空間(Null Space)N( A )。(10 分)
#557492
(一)求得線性方程式 Ax=b 之完整解(Complete Solution) 。(20 分)
#557491
四、假設週期函數f(x)之週期為 2π,f(x)=。計算f(x)之傅氏級數(Fourier Series)。(20 分)
#557490
三、求解以下初始值問題之常微分方程式:。 (20 分)
#557489
相關試卷
114年 - 114 專技高考_電機工程技師:工程數學(包括線性代數、微分方程、複變函數與機率)#133679
114年 · #133679
114年 - 114 專技高考_電子工程技師:工程數學(包括線性代數、微分方程、向量分析、複變函數與機率)#133677
114年 · #133677
114年 - 114 調查特種考試_三等_電子科學組:工程數學#129578
114年 · #129578
114年 - 114 國家安全情報特種考試_三等_電子組(選試英文):工程數學#127780
114年 · #127780
113年 - 113 專技高考_電子工程技師:工程數學(包括線性代數、微分方程、向量分析、複變函數與機率)#123976
113年 · #123976
113年 - 113 專技高考_電機工程技師:工程數學(包括線性代數、微分方程、複變函數與機率)#123971
113年 · #123971
113年 - 113 調查特種考試_三等_電子科學組:工程數學#122110
113年 · #122110
113年 - 113 身心障礙特種考試_三等_電力工程:工程數學#119517
113年 · #119517
112年 - 112 地方政府特種考試_三等_電力工程、電子工程:工程數學#118376
112年 · #118376
112年 - 112 專技高考_電機工程技師:工程數學(包括線性代數、微分方程、複變函數與機率)#117639
112年 · #117639