阿摩線上測驗
登入
首頁
>
高中指考◆數學乙
>
100年 - 100 大學入學考試中心_指定科目考試:數學乙#116276
> 申論題
題組內容
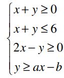
一、設a,b為實數。已知坐標平面上滿足聯立不等式
的區域是一個菱形 。
(2)試求a,b。(8分)
相關申論題
A.設f(x)x5-x3+2x2-2x-4,g (x)=x4+x3+x2+3x+2, h(x) 為 f(x)與g(x)的最高公因式且最高次項係數為 1, 則 h(1) 與 h(2)的乘積為__⑦⑧__。
#496706
B.為講解信賴區間與信心水準,數學老師請全班40位同學使用老師提供的亂數表模擬投擲均勻銅板16次。模擬的過程如下:隨機指定給每位同學亂數表的某一列,該列從左到右有16個數字;如果數字為 0,1,2,3,4 時,對應投擲銅板得到正面;而數字為 5,6,7,8,9時,對應投擲得到反面。某同學拿到的一列數字依序為:0612 9683 4251 9138該同學計算銅板出現正面的機率在 95%信心水準下的信賴區間 :。則該同學所得到的結果中,。(化為最簡根式)
#496707
C.坐標平面上有一面積為40的凸四邊形,其四個頂點的坐標按逆時針方向依序為 (0,0) 、 (4,2) 、 ( x ,2x) 及 (2,6) ,則 x = __⑪⑫__ 。
#496708
D.一線性規劃問題的可行解區域為坐標平面上由點A(0,30)、B(18,27)、C(20,0)、D(2,3) 所圍成的平行四邊形及其內部。已知目標函數ax+ by(其中a,b為常數)在D點有最小值48,則此目標函數在同個可行解區域的最大值為__⑬⑭⑮__。
#496709
(1) 試求此菱形之邊長。(4 分)
#496710
(1)當A為轉移矩陣時,試敘述實數 a 、 b 、 c 、 d 須滿足的條件。(6 分)
#496712
(2)試證:當A為轉移矩陣時,A2也是轉移矩陣(式中A2代表 A與 A的乘積 )。( 6 分 )
#496713
18. 已知某人的農地收成時,甲水果每公畝可獲利6萬元、乙水果每公畝可獲利 7 萬元。 試求某 人種植甲、乙兩種水果的最大獲利為多少萬元 ? 在答題卷求解區寫出計算過程,並在答題卷作圖區畫出可行解區域及標出其所有頂點坐標,且以斜線標示該區域 。( 非選擇題, 8 分 )
#553361
17. 試將某人對甲面積、乙面積所設定的三個條件,以 x、 y 的 二元一次聯立不等式 表示 。( 非 選擇題 , 4 分 )
#553360
15. 承 14 題 , 試求的 值 。( 非選擇題 , 4 分 )
#553359
相關試卷
114年 - 114 大學入學考試中心_分科測驗:數學乙#131153
114年 · #131153
110年 - 110 大學入學考試中心_指定科目考試:數學乙#99979
110年 · #99979
109年 - 109(補考) 大學入學考試中心_指定科目考試:數學乙#89674
109年 · #89674
109年 - 109 大學入學考試中心_指定科目考試:數學乙#87876
109年 · #87876
108年 - 108 大學入學考試中心_指定科目考試:數學乙#97808
108年 · #97808
107年 - 107 大學入學考試中心_指定科目考試:數學乙#97823
107年 · #97823
106年 - 106 大學入學考試中心_指定科目考試參考試卷:數學乙#114987
106年 · #114987
106年 - 106 大學入學考試中心_指定科目考試:數學乙#62741
106年 · #62741
105年 - 105 大學入學考試中心_指定科目考試:數學乙#53359
105年 · #53359
104年 - 104 大學入學考試中心_指定科目考試:數學乙#114989
104年 · #114989