阿摩線上測驗
登入
首頁
>
應用數學(包括微積分、微分方程與向量分析)
>
108年 - 108 地方政府特種考試_三等_天文:應用數學(包括微積分、微分方程與向量分析)#81251
> 申論題
題組內容
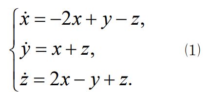
一、假設(x(t), y(t),z(t))滿足以下線性系統:
⑴(一)請求出滿足⑴之(x, y,z)的通解。(20 分)
相關申論題
(二)令(xp (t), yp (t),zp (t)) 滿足⑴及初始值( xp(0),yp(0),zp(0) )=(x0,y0,z0) 的 解。試問對任何(x0,y0,z0) ,( xp(0),yp(0),zp(0) ) 在t → ∞是否都有界?如 果不是,是否能給出適當(x0,y0,z0)使得( xp(0),yp(0),zp(0) )在t → ∞維 持有界。(10 分)
#330507
二、利用分離變數法求解以下熱方程的初始及邊界值問題: 此時 a 為一個正數。(提示:設解u(x,t) = v(x,t) +φ(x),利用φ 來處理非 零邊界條件。不需要算出傅立葉級數的係數,只要寫出積分公式即可。) (25 分)
#330508
#330509
四、求 y = y(x)滿足試問這樣的 y(x)是不是唯一的?(20 分)
#330510
五、令 ( 單 位 圓 ), 利 用 散 度 定 理 ( divergence theorem)算出∫∫B (3x2 +4y3 )dxdy 。(15 分)
#555981
四、計算雙重積分。(10 分)
#555980
三、求函數f (x ,y ,z ) =xyz 在橢圓面上的最大值及最小值。(25 分)
#555979
二、求下列微分方程初始值問題的解:(25 分)
#555978
(二)承上題,請說明在這力場下將粒子從點移至點所做的功與路徑無關(請詳述理由) 。(15 分)
#555977
(一)算出在這力場下將粒子從點 A= (0,0,0) 移至點 B= (1,1,1) 沿著路徑L= {(t ,t2 ,t3 ): ∈ [0,1]}所做的功。 (10 分)
#555976
相關試卷
114年 - 114 公務升官等考試_薦任_天文:應用數學(包括微積分、微分方程、向量分析)#133249
114年 · #133249
114年 - 114 高等考試_三級_天文:應用數學(包括微積分、微分方程與向量分析)#128455
114年 · #128455
113年 - 113 高等考試_三級_天文:應用數學(包括微積分、微分方程與向量分析)#121525
113年 · #121525
112年 - 112 高等考試_三級_天文、氣象:應用數學(包括微積分、微分方程與向量分析)#115744
112年 · #115744
111年 - 111 高等考試_二級_氣象:應用數學(包括微積分、微分方程、初步複變函數與向量分析)#111014
111年 · #111014
111年 - 111 高等考試_三級_天文、氣象:應用數學(包括微積分、微分方程與向量分析)#109450
111年 · #109450
110年 - 110 高等考試_三級_氣象:應用數學(包括微積分、微分方程與向量分析)#102743
110年 · #102743
109年 - 109 高等考試_三級_氣象:應用數學(包括微積分、微分方程與向量分析)#88983
109年 · #88983
108年 - 108 地方政府特種考試_三等_天文:應用數學(包括微積分、微分方程與向量分析)#81251
108年 · #81251
108年 - 108 公務升官等考試_薦任_天文:應用數學(包括微積分、微分方程、向量分析)#80516
108年 · #80516